• Предмет: Математика
  • Автор: prince7
  • Вопрос задан 9 лет назад

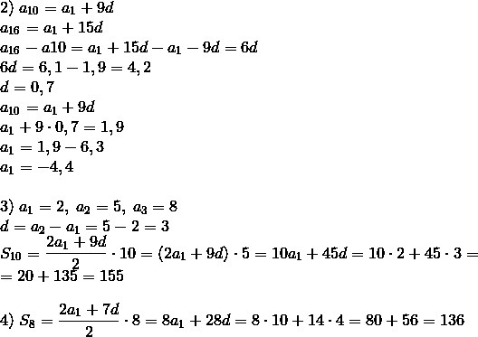
1)Найдите 15 й член прогрессии если d=-3
2) Найдите a1 и d
a10=1.9 ;a16=6.1
3)Найдите S10 2;5;8...
4)найдите a1=10
d=4 S8-?
пожалуйста помогите SOOS

Ответы

Ответ дал: Trover
0
2);a_{10}=a_1+9d\a_{16}=a_1+15d\a_{16}-a{10}=a_1+15d-a_1-9d=6d\6d=6,1-1,9=4,2\d=0,7\a_{10}=a_1+9d\a_1+9cdot0,7=1,9\a_1=1,9-6,3\
a_1=-4,4\\3);a_1=2,;a_2=5,;a_3=8\d=a_2-a_1=5-2=3\S_{10}=frac{2a_1+9d}{2}cdot 10=(2a_1+9d)cdot5=10a_1+45d=10cdot2+45cdot3=\=20+135=155\\4);S_{8}=frac{2a_1+7d}2cdot8=8a_1+28d=8cdot10+14cdot4=80+56=136
Приложения:
Вас заинтересует