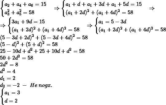
Сумма второго, четвертого и шестого членов возрастающей арифметической прогрессии равна 15, а сумма квадратов третьего и пятого членов этой же прогрессии равна 58.
                        
                            
                            
                    Ответы
                                            Ответ дал: 
                                                                                    
                                        
                                            
                                                
                                                
                                                
                                                    0
                                                
                                            
                                        
                                    
                                        Прогрессия возрастающая, значит, d>0.
 
                                    
                                                Приложения:
                     
                            Вас заинтересует
                
                        2 года назад
                    
                
                        2 года назад
                    
                
                        7 лет назад
                    
                
                        7 лет назад
                    
                
                        9 лет назад
                    
                
                        9 лет назад