• Предмет: Алгебра
  • Автор: Lomka39
  • Вопрос задан 11 лет назад

Помогите. Плиз В 8:30 задавать help me pleas !!

 

Приложения:

Ответы

Ответ дал: Barby1978
0

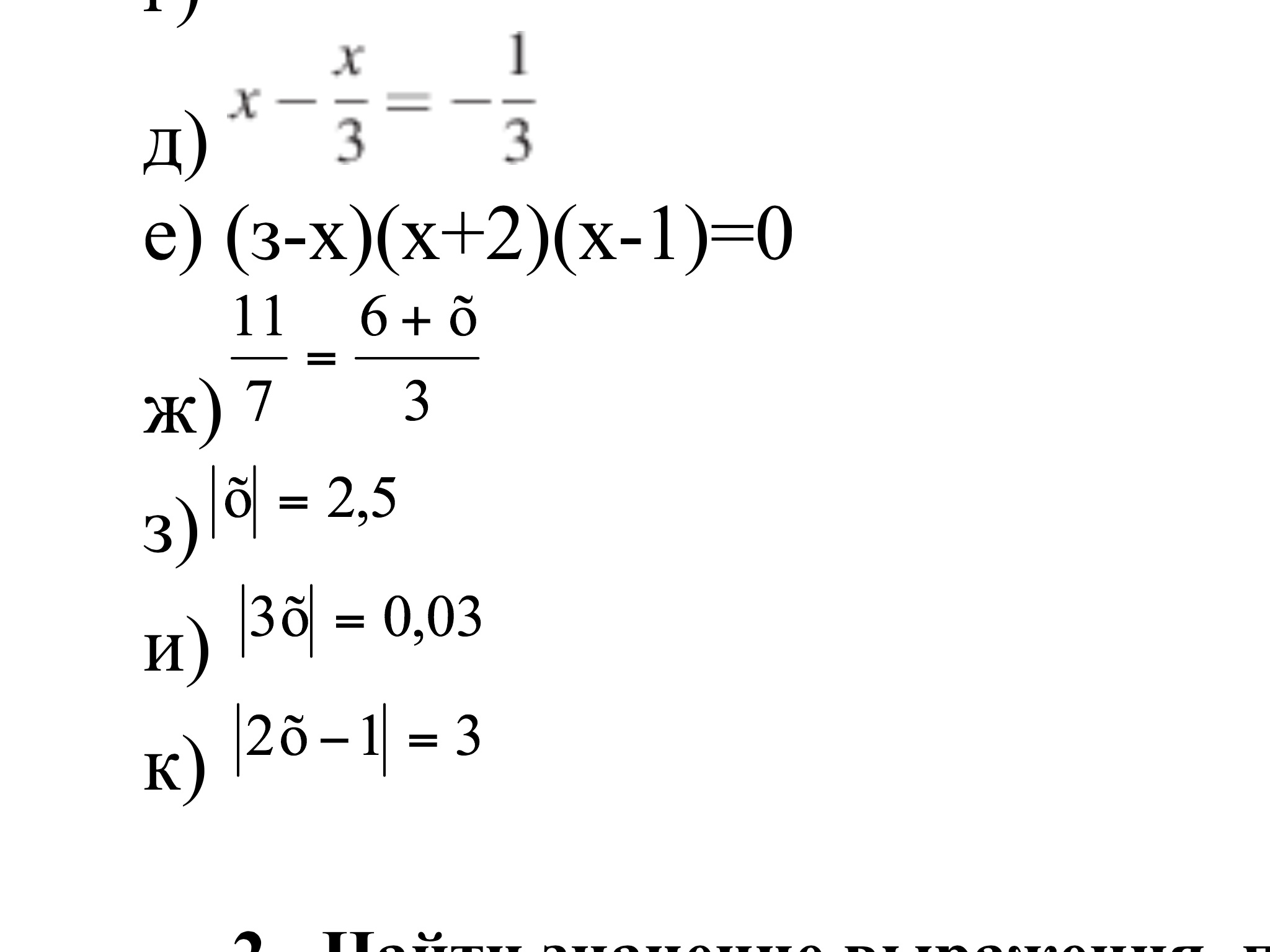
1) х-х/3= -1/3           домножим на 3

   3х-х= -1

   2х= -1

   х= -0,5

2) (3-х)*(х+2)*(х-1)=0

    3-х=0   х+2=0   х-1=0

     х=3     х= -2     х=1

3) 33=7*(6+q)

     -7q=42-33

     -7q=9

       q= -9/7

Вас заинтересует