• Предмет: Алгебра
  • Автор: Яpослав
  • Вопрос задан 11 лет назад

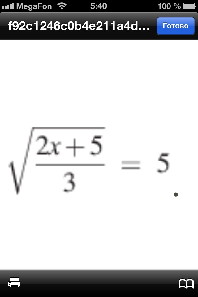
Решить уравнение 2x:3=5 (левая часть уравнения под корнем)

Приложения:

Ответы

Ответ дал: ConsuLX
0

sqrt{frac{2x+5}{3}}=5

(2x+5)/3=5^2

(2x+5)/3=25

2x+5=25*3

2x+5=75

2x=70

x=70/2

x=35

Вас заинтересует