Вычислите
1)
3,8*(-2 3/4)+13 3/5:1,7
-------------------------------=
(4,3-7,85):7,1
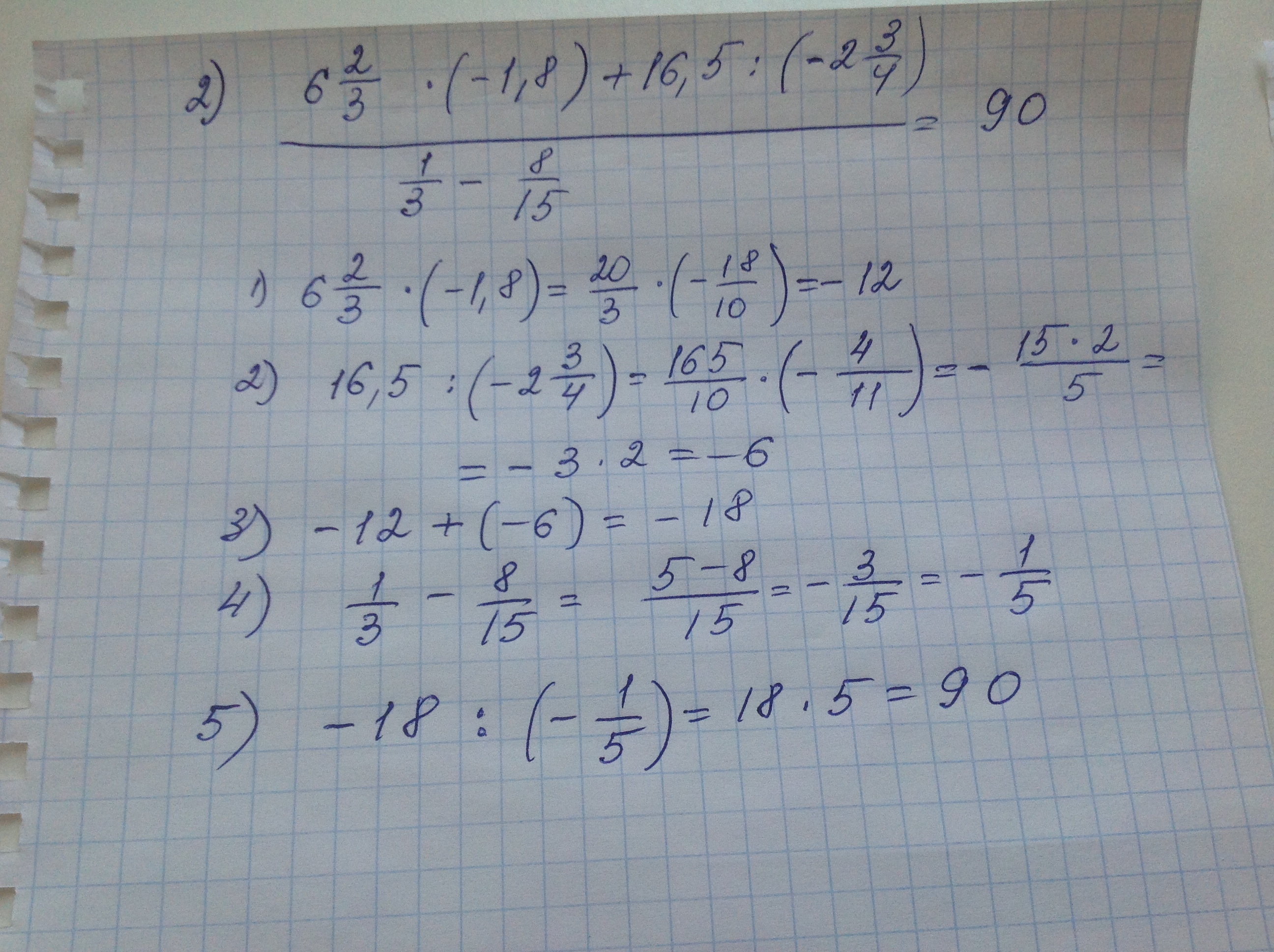
2)
6 2/3*(-1,8)+16,5:(-2 3/4)
----------------------------------=
1/3-8/15
3)
(4/5-0,9-0,225)*81/3
------------------------------=
2/5:8
4)
4/5:2 2/3-3:3/4
------------------------=
1/6-1/15
Ответы
Ответ дал:
0
Решение смотри в приложениях
Приложения:




Ответ дал:
0
ты непревильго зделал
Ответ дал:
0
правельно!
Ответ дал:
0
можете все остальные решить
Ответ дал:
0
так
Вас заинтересует
2 года назад
2 года назад
7 лет назад
9 лет назад
9 лет назад
10 лет назад