Отличники помогите пожалуйста решить примеры 10 класс алгебра, решение желательно на листочке написать пожалуйста. СРОЧНО!
в первом 1
во втором примере 2
в третьем 3
в четвёртом 4
перепутал нумерации
Приложения:
Ответы
Ответ дал:
0
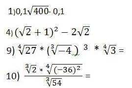
0.1*√400 - 0.1=0.1*20 -0,1=2-0,1=1.9
(√2+1)²-2√2=(√2)²-2√2+1²-2√2=2+1=3
⁴√27 *(³√-4)³ *⁴√3 =⁴√(3³)* (-4¹/₃)³ *⁴√3=⁴√3⁴ *(-4)=3*(-4)=-12
∛2 *⁴√(-36)² ∛2 * ⁴√6⁴ ∛2 * 6
------------------ = ----------------------- = ----------- =2
∛54 ∛(2*27) 3*∛2
(√2+1)²-2√2=(√2)²-2√2+1²-2√2=2+1=3
⁴√27 *(³√-4)³ *⁴√3 =⁴√(3³)* (-4¹/₃)³ *⁴√3=⁴√3⁴ *(-4)=3*(-4)=-12
∛2 *⁴√(-36)² ∛2 * ⁴√6⁴ ∛2 * 6
------------------ = ----------------------- = ----------- =2
∛54 ∛(2*27) 3*∛2
Ответ дал:
0
Спасибо вам огромнейшее)
Ответ дал:
0
)) рада помочь
Вас заинтересует
2 года назад
2 года назад
7 лет назад
10 лет назад
10 лет назад
10 лет назад