• Предмет: Алгебра
  • Автор: 121km
  • Вопрос задан 9 лет назад

помогите решить, пожалуйста

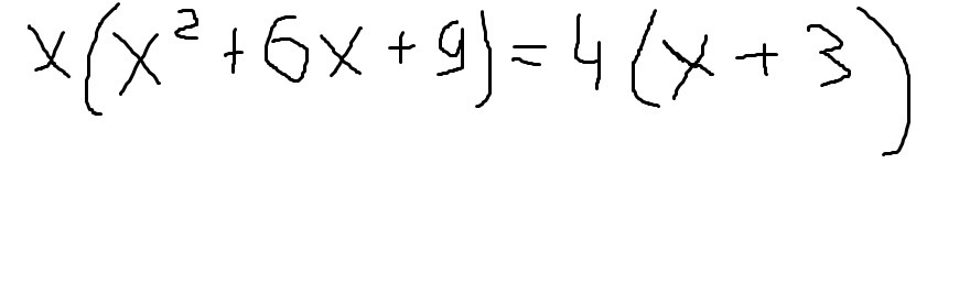
Приложения:

Ответы

Ответ дал: katya2007
0
 x^{2} +6 x^{2} +9 x^{} =4 x^{} +ВОТ12

7 x^{2} +5 x^{} =12
Вас заинтересует