• Предмет: Алгебра
  • Автор: butagir
  • Вопрос задан 9 лет назад

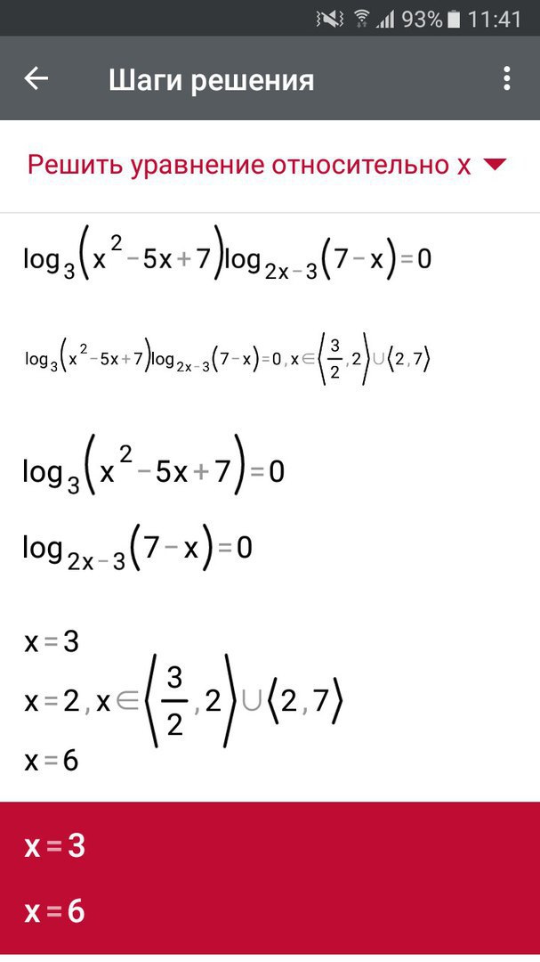
[log3-внизу(x*x-5x+7)*log2x-3-внизу(7-x)=0

Ответы

Ответ дал: CWI4
0
правильно я понял пример или нет хз но пробуй

Приложения:
Вас заинтересует