Ответы
Ответ дал:
0
1
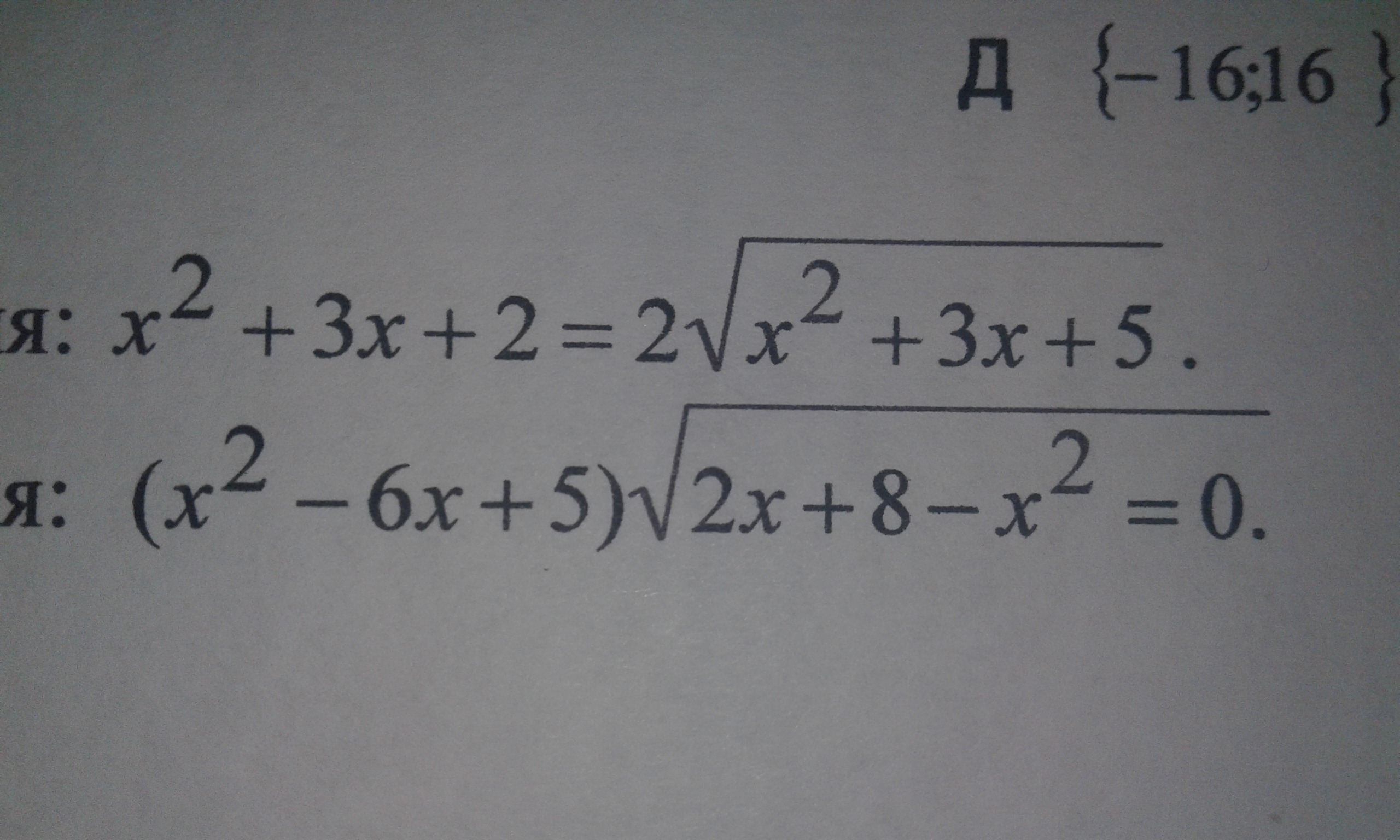
√(x²+3x+5)=a⇒x²+3x+2=a²-3
a²-2a-3=0
a1+a2=2 U a1*a2=-3
a1=-1⇒√(x²+3x+5)=-1 нет решения
a2=3⇒√(x²+3x+5)=3
x²+3x-5=9
x²+3x-4=0
x1+x2=-3 U x1*x2=-4
x1=-4 U x2=1
2
ОДЗ
x²-2x-8≤0
x1=x2=2 U x1*x2=-8⇒x1=-2 U x2=4
x∈[-2;4]
x²-6x+5=0
x1+x2=6 U x1*x2=5
x1=1
x2=5 не удов усл
x²-2x-8=0
x=-2 U x=4
Ответ x={-2;1;4}
√(x²+3x+5)=a⇒x²+3x+2=a²-3
a²-2a-3=0
a1+a2=2 U a1*a2=-3
a1=-1⇒√(x²+3x+5)=-1 нет решения
a2=3⇒√(x²+3x+5)=3
x²+3x-5=9
x²+3x-4=0
x1+x2=-3 U x1*x2=-4
x1=-4 U x2=1
2
ОДЗ
x²-2x-8≤0
x1=x2=2 U x1*x2=-8⇒x1=-2 U x2=4
x∈[-2;4]
x²-6x+5=0
x1+x2=6 U x1*x2=5
x1=1
x2=5 не удов усл
x²-2x-8=0
x=-2 U x=4
Ответ x={-2;1;4}
Ответ дал:
0
Огромное спасибо)
Вас заинтересует
2 года назад
2 года назад
7 лет назад
7 лет назад
10 лет назад
10 лет назад