• Предмет: Алгебра
  • Автор: au456
  • Вопрос задан 9 лет назад

Решить уравнение tg(3x)*tg(4x)=1

Ответы

Ответ дал: crafting2000203
0
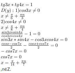
tg3x*tg4x=1 \ 
D(y):1)cos3x neq 0 \ x neq  frac{ pi }{6}+ frac{ pi n}{3}  \ 
 2)cos4x neq 0 \ x neq  frac{ pi }{8}+ frac{ pi n}{4} \ 
 frac{sin3x*sin4x}{cos3x*cos4x}-1=0 \ 
sin3x*sin4x-cos3xcos4x=0 \ 
 frac{cosx-cos7x}{2}- frac{cosx+cos7x}{2}=0 \ 
-cos7x=0 \ 
cos7x=0 \ 
x= frac{ pi }{14}    + frac{ pi n}{7}
,n∈Z.
Приложения:
Ответ дал: crafting2000203
0
А вы с мобильного устройства? Сейчас поправим.
Ответ дал: au456
0
да - а надо с сайта смотреть? щас попробую...
Ответ дал: crafting2000203
0
Я уже фотографией выслал.
Ответ дал: au456
0
спасибо - щас буду разбираться...
Ответ дал: au456
0
черт - как просто оказывается, а я час голову ломал. спасибо большое еще раз!
Вас заинтересует