• Предмет: Алгебра
  • Автор: natalya159
  • Вопрос задан 9 лет назад

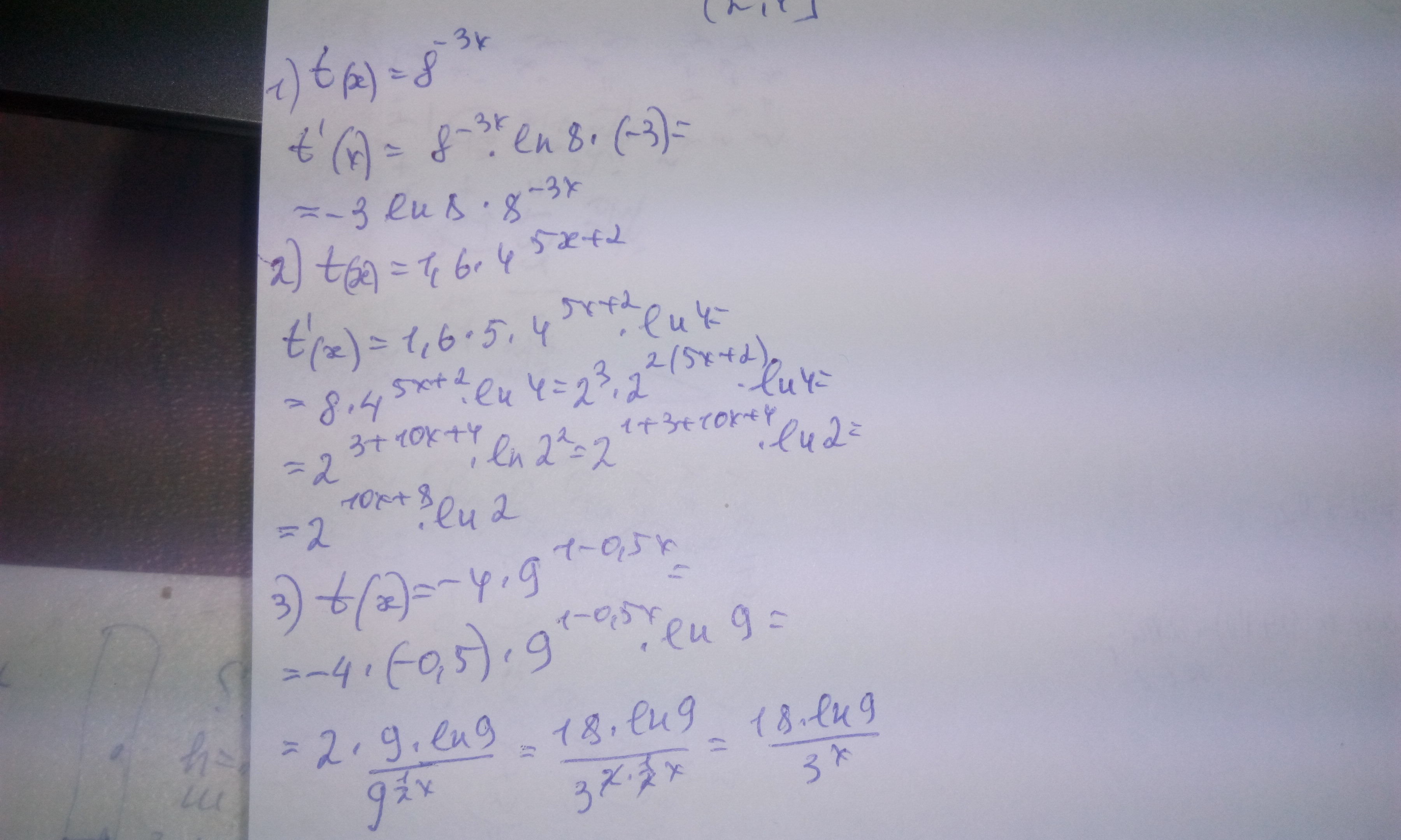
Найдите производную функцию
8^-3x
1,6*4^5x+2
-4*9^q-0,5x

Ответы

Ответ дал: irinan2014
0
Решение дано на фото.
Приложения:
Вас заинтересует