Ответы
Ответ дал:
0
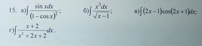
в



u=2x ,du=2,dv=cos(2x+1),v=1/2*sin(2x+1)

г

![intlimits {1/[(x+1)^2+1} ], dx =1/2*ln(x^2=2x+2)+arctg(x+1)+C intlimits {1/[(x+1)^2+1} ], dx =1/2*ln(x^2=2x+2)+arctg(x+1)+C](https://tex.z-dn.net/?f=+intlimits+%7B1%2F%5B%28x%2B1%29%5E2%2B1%7D+%5D%2C+dx+%3D1%2F2%2Aln%28x%5E2%3D2x%2B2%29%2Barctg%28x%2B1%29%2BC)
u=2x ,du=2,dv=cos(2x+1),v=1/2*sin(2x+1)
г
Вас заинтересует
2 года назад
2 года назад
7 лет назад
7 лет назад
10 лет назад
10 лет назад