• Предмет: Алгебра
  • Автор: Midnight656
  • Вопрос задан 9 лет назад

решите систему !очень нужно

Приложения:

Ответы

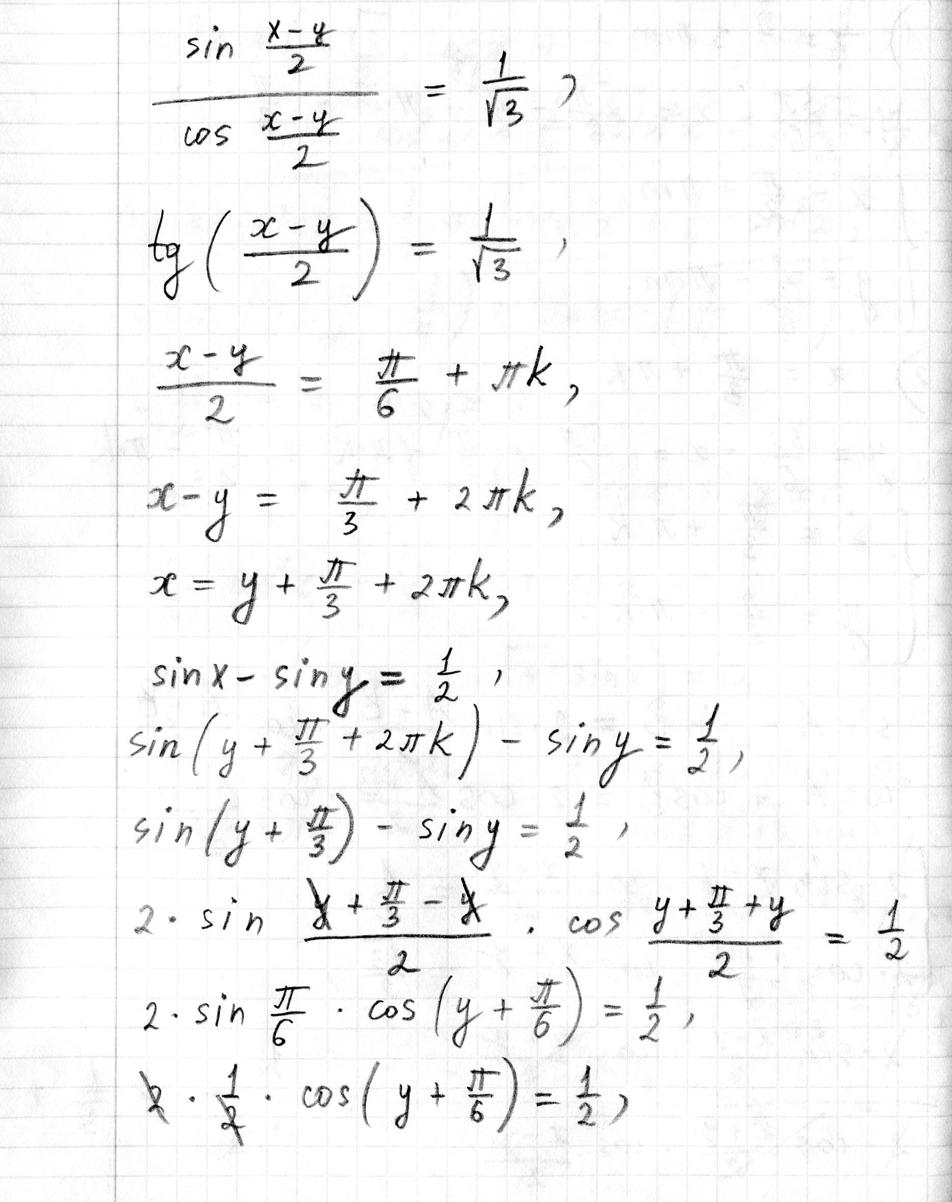
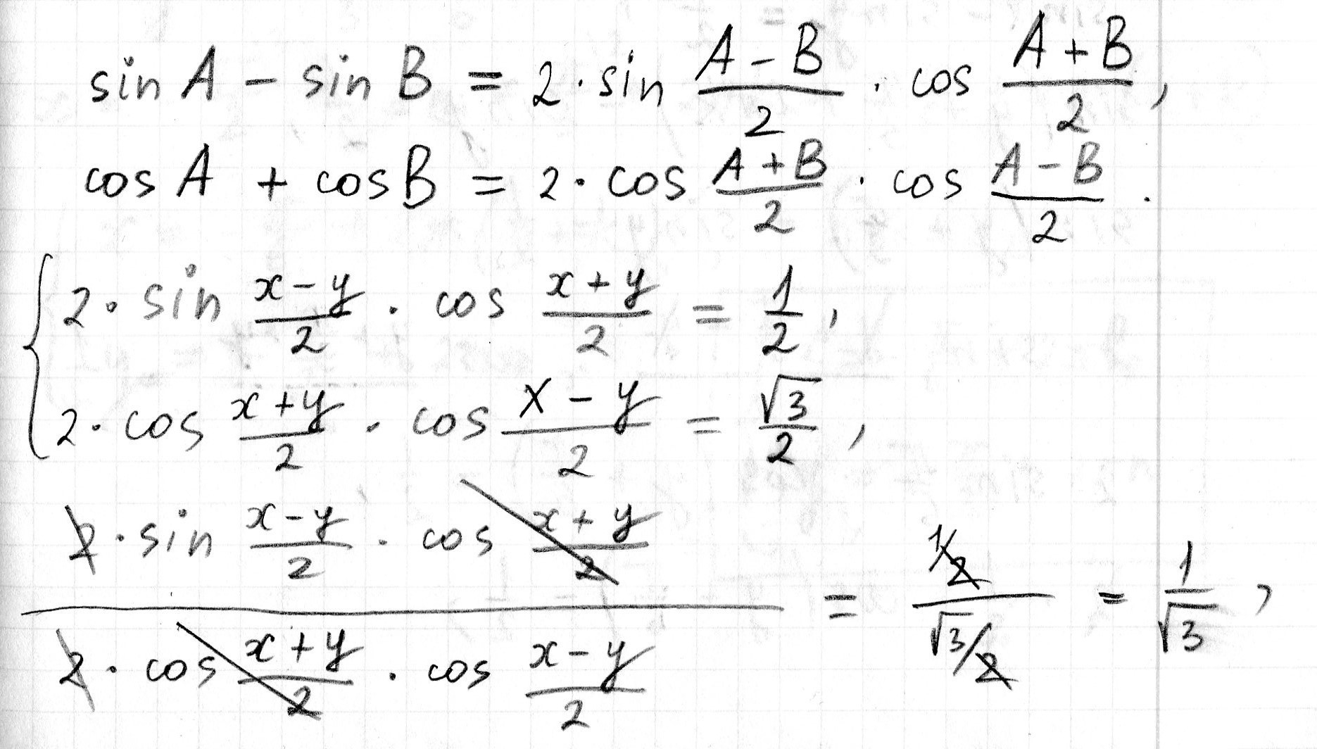
Ответ дал: Аноним
0
Я решил на листочках, которые прикрепил ниже.
Приложения:
Вас заинтересует