Ответы
Ответ дал:
0
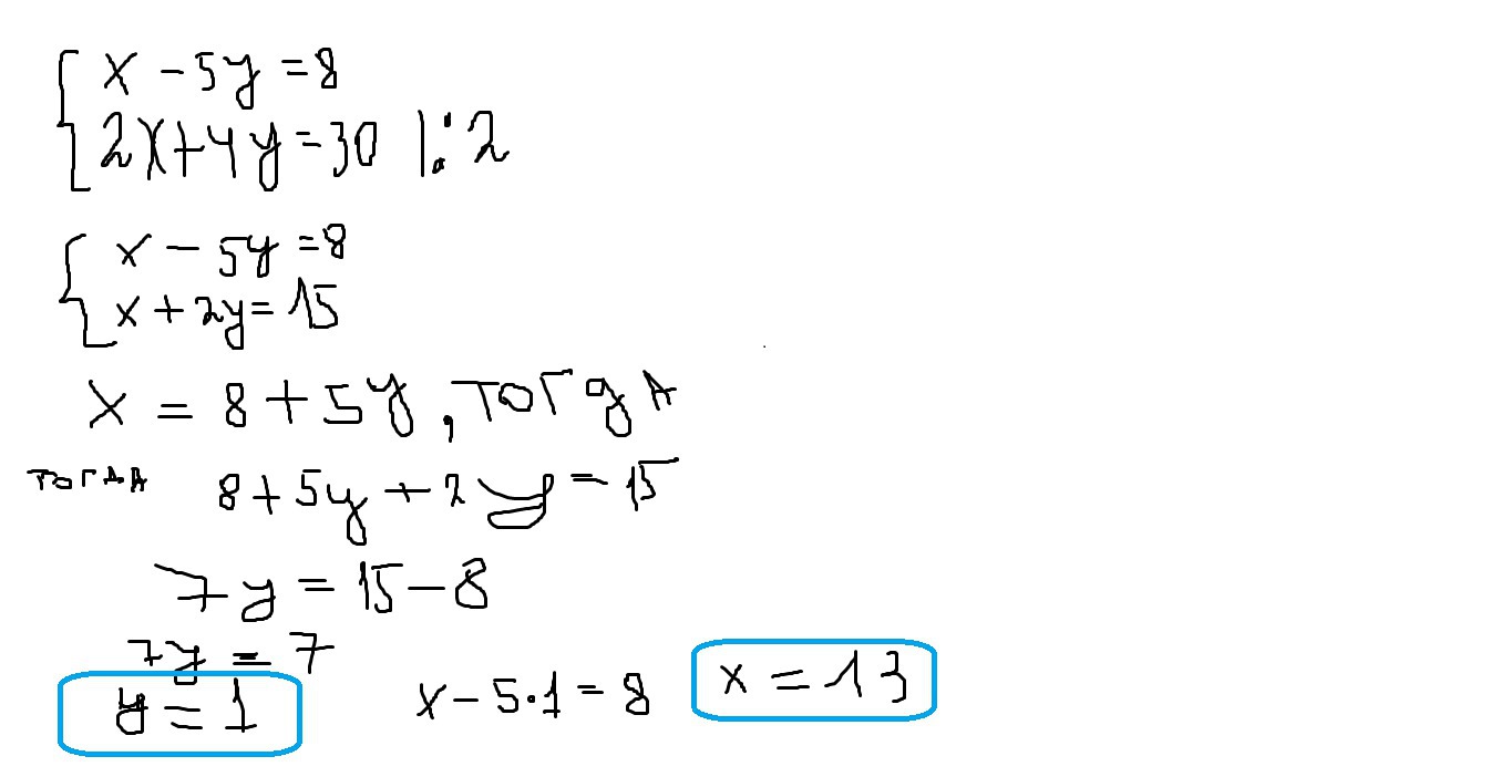
Всё во вложениях. В последнем случае график не ровный получился; но ответ там правильный ( я на клет. листке проверил)
Приложения:



Ответ дал:
0
спасибо)))
Ответ дал:
0
не за что
Вас заинтересует
2 года назад
7 лет назад
9 лет назад
9 лет назад
10 лет назад