• Предмет: Математика
  • Автор: nastyaaleksand4
  • Вопрос задан 9 лет назад

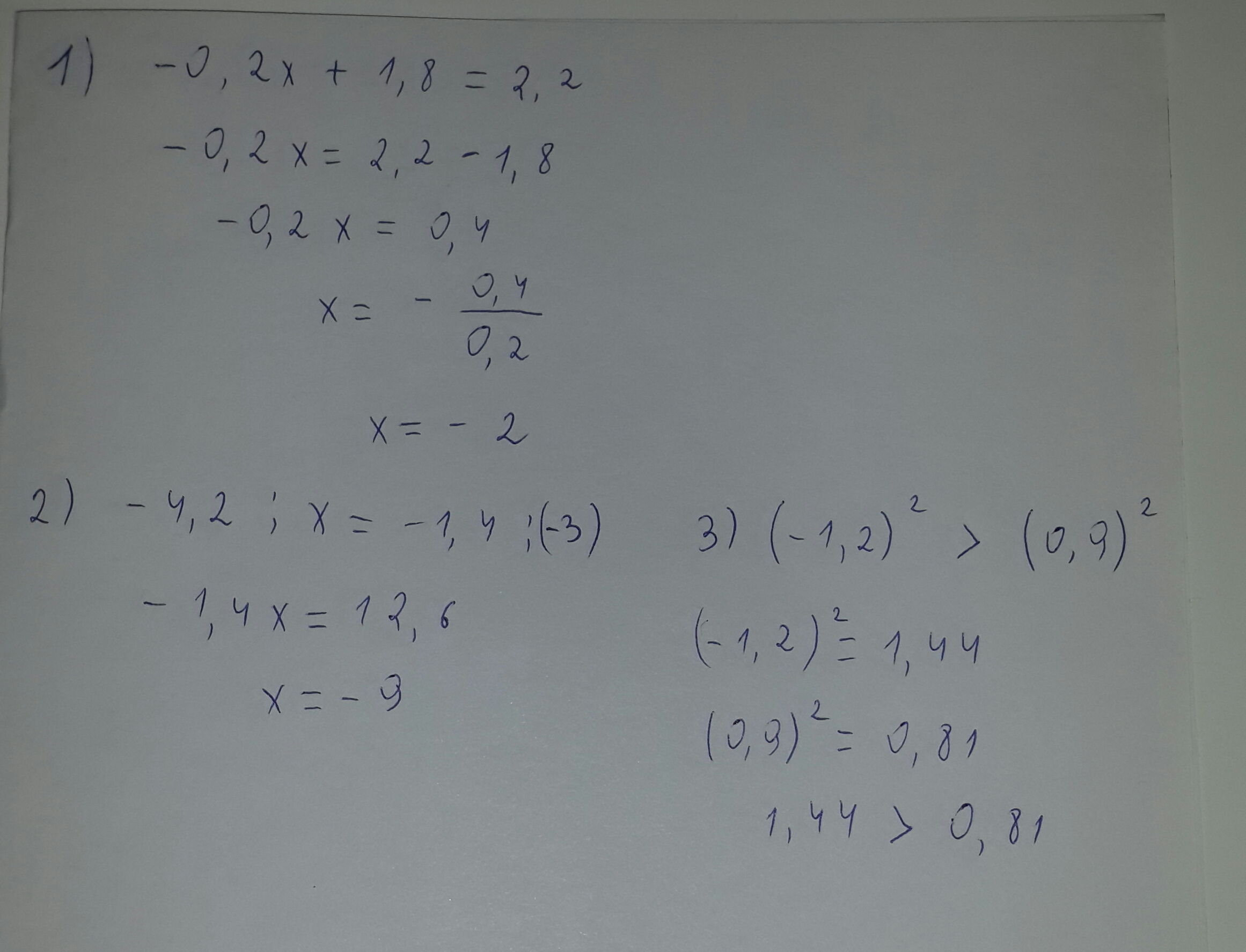
Решите уравнение: -0,2х+1,8=2,2

Найдите неизвестный член пропорции: -4,2/x=-1,4/-3

Сравните: (-1,2)² и (0,9)²

Ответы

Ответ дал: kleo50
0
Решение на фото
_______________
Приложения:
Ответ дал: nastyaaleksand4
0
Спасибо большое!
Вас заинтересует