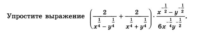
Ответы
Ответ дал:
0
Приложения:

Ответ дал:
0
Я уже сама решила
Ответ дал:
0
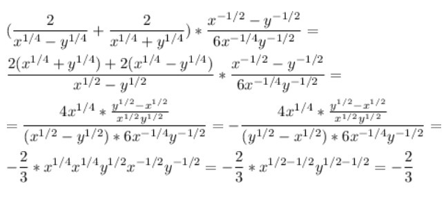
И получила -2/3
Ответ дал:
0
Все. Теперь правильно..))
Ответ дал:
0
)))))
Вас заинтересует
2 года назад
7 лет назад
9 лет назад
10 лет назад