• Предмет: Алгебра
  • Автор: gostyusheva03
  • Вопрос задан 9 лет назад

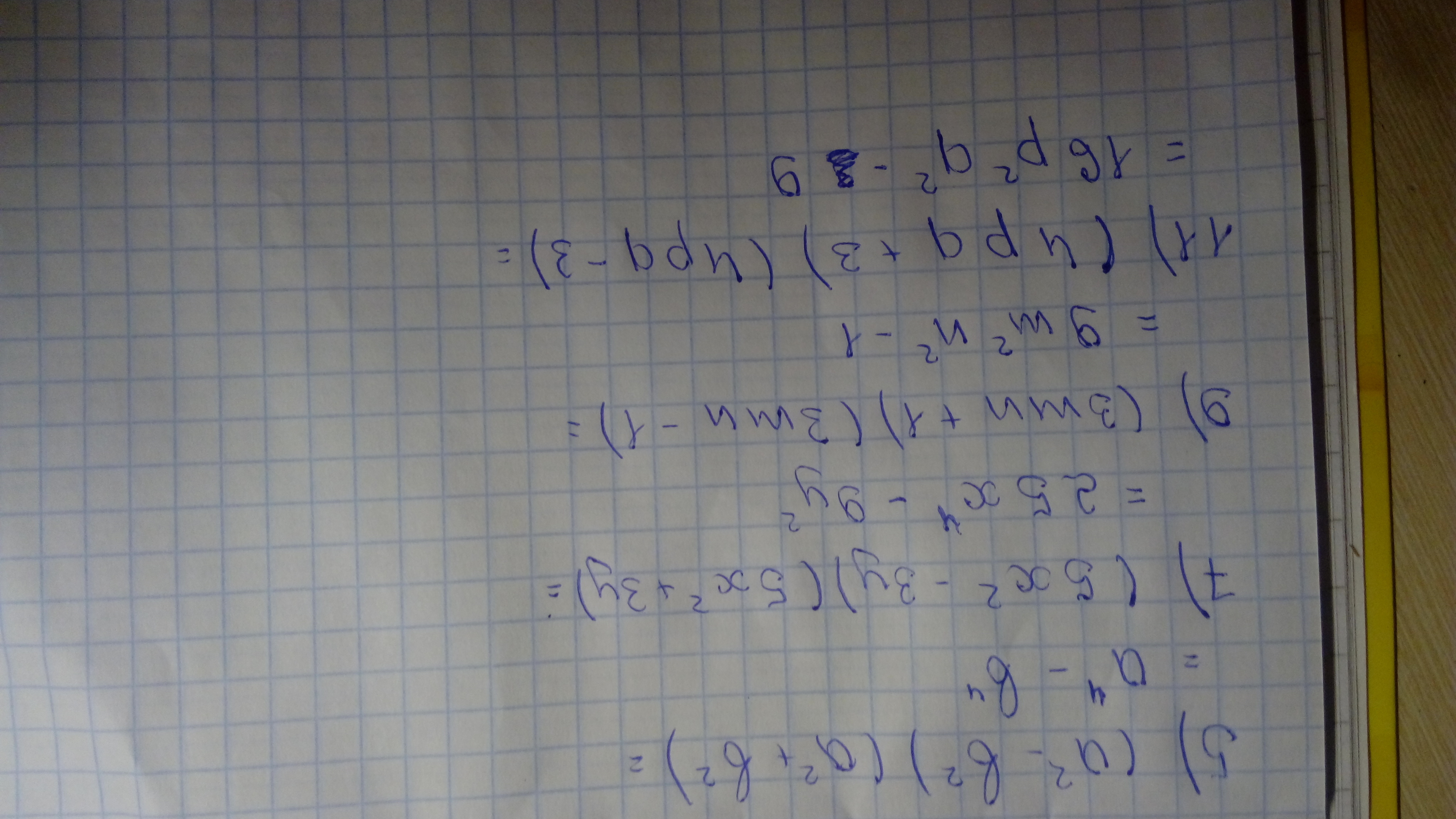
Выполните умножение:
5) (a²-b²)(a²+b²)=
7) (5x²-3y)(5x²+3y)=
9) (3mn+1)(3mn-1)=
11) (4pq+3)(4pq-3)=

Ответы

Ответ дал: alinamileva
0
Простите за корявый почерк)
Вроде все верно)
Приложения:
Ответ дал: Jumagulsalaidin
0
5)a^4-b^4 7)25x^4-9y^2. 9)9m^2n^2-1 11)16p^2q^2-9
Приложения:
Вас заинтересует