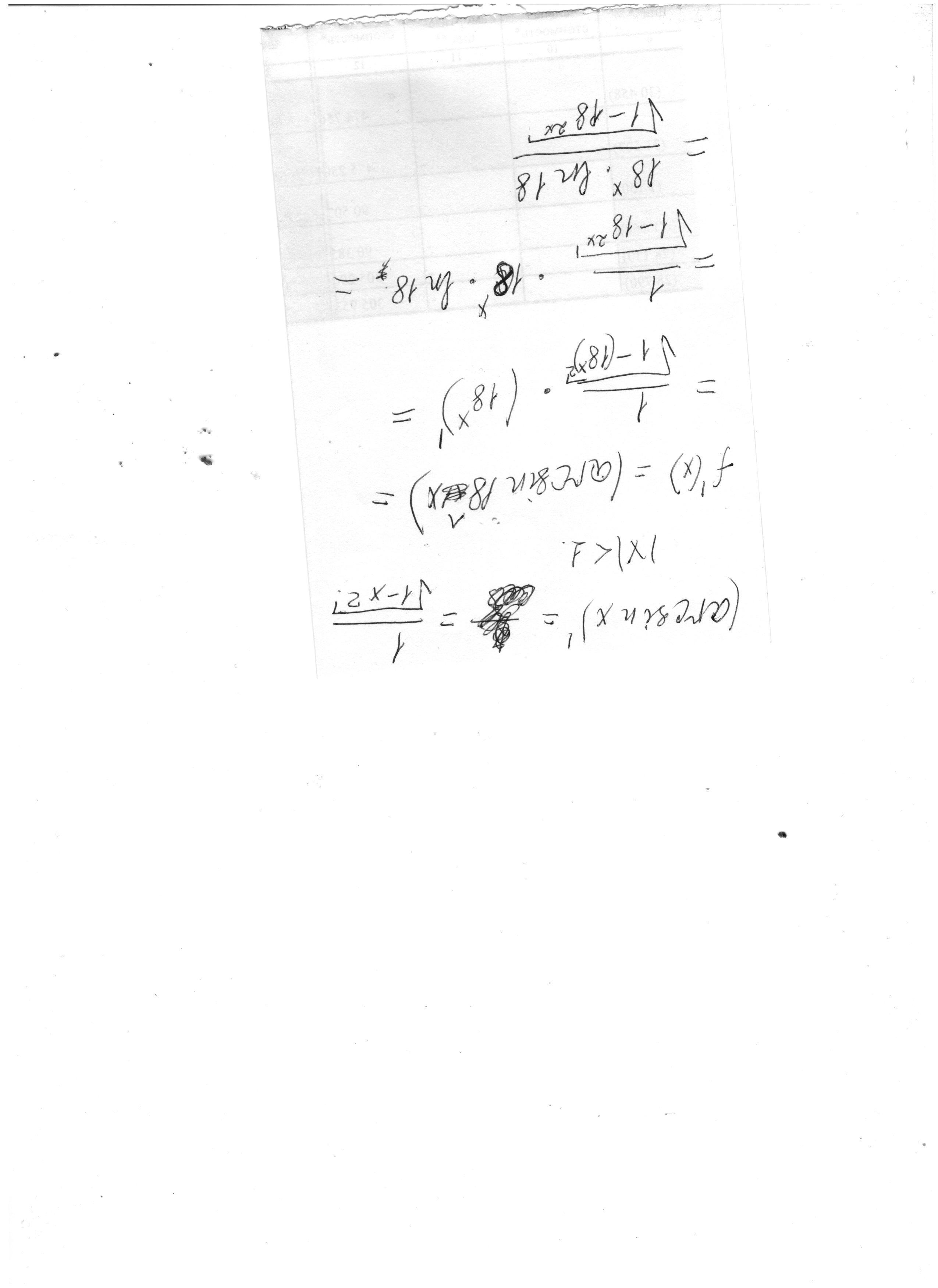
айти производную 1-го и 2-го порядка функции
f(x)=(arcsin18^x)
Если не трудно, то можете написать на бумаге и отправить фотку решения
Ответы
Ответ дал:
0
В ПРИЛОЖЕННОМ ФАЙЛЕ РЕШЕНИЕ
Приложения:

Вас заинтересует
2 года назад
2 года назад
7 лет назад
9 лет назад
9 лет назад
10 лет назад
10 лет назад