• Предмет: Алгебра
  • Автор: oewrqq123
  • Вопрос задан 9 лет назад

Решите задание по алгебре

Приложения:

Ответы

Ответ дал: kspateeva
0
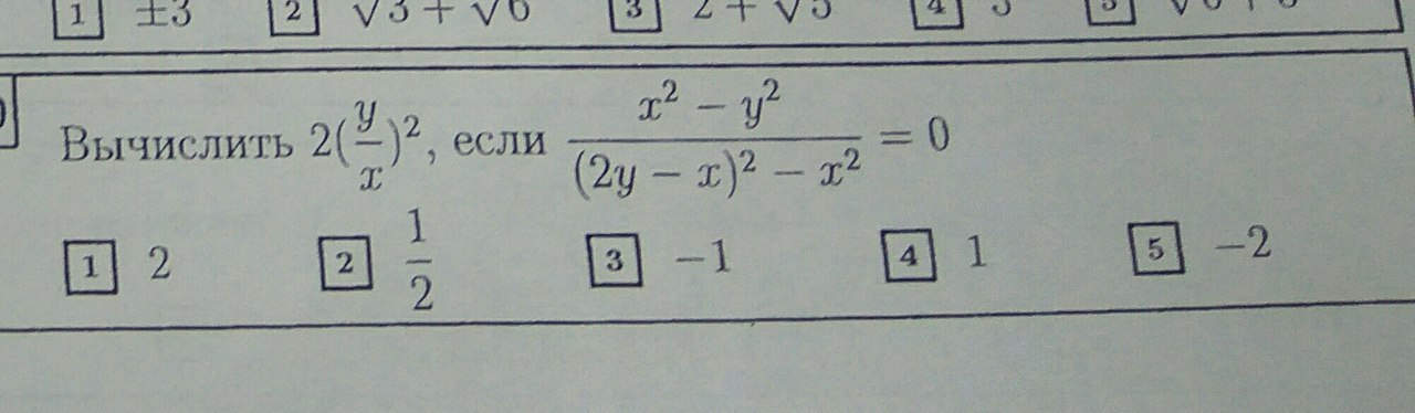
 frac{(x+y)(x-y)}{4 y^{2} + x^{2} -4xy- x^{2} } =frac{(x+y)(x-y)}{4y( y -x )}= frac{x+y}{-4y} =0
значит x+y=0
тогда  2 (frac{y}{x}) ^{2} =2
Ответ дал: fonnik
0
x^2-y^2                                                                                                                   __________=0
 (2y-x)^2-x^2
 
 (2y-x)^2-x^2=0

4y^2-2yx+x^2-x^2=0
 
4y^2-2yx=0                                                                                

y(4y-2x)=0

y=0 или (4y-2x)=0

4y-2x=0
4y=2x
2y=x
x=2y

Проверяем выражение 2*(y/2y)^2=2*1/4=1/2
Ответ № 2
                                            
Вас заинтересует