• Предмет: Алгебра
  • Автор: qwertyuiopasd332
  • Вопрос задан 9 лет назад

Решите уравнение: (3x-4)-(2x+5)=4x-14+(3x-2)

Ответы

Ответ дал: nastyasamokish
0
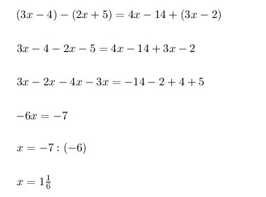
(3x-4)-(2x+5)=4x-14+(3x-2)
3х-4-2х-5=4х-14+3х-2
х-9=7х-16
6х=7
х=7/6 или 1и1/6
Приложения:
Ответ дал: Пеппер
0
(3x-4)-(2x+5)=4x-14+(3x-2)
3х-4-2х-5-4х+14-3х+2=0
-6х=-7
х=76
Приложения:
Вас заинтересует