Ответы
Ответ дал:
0
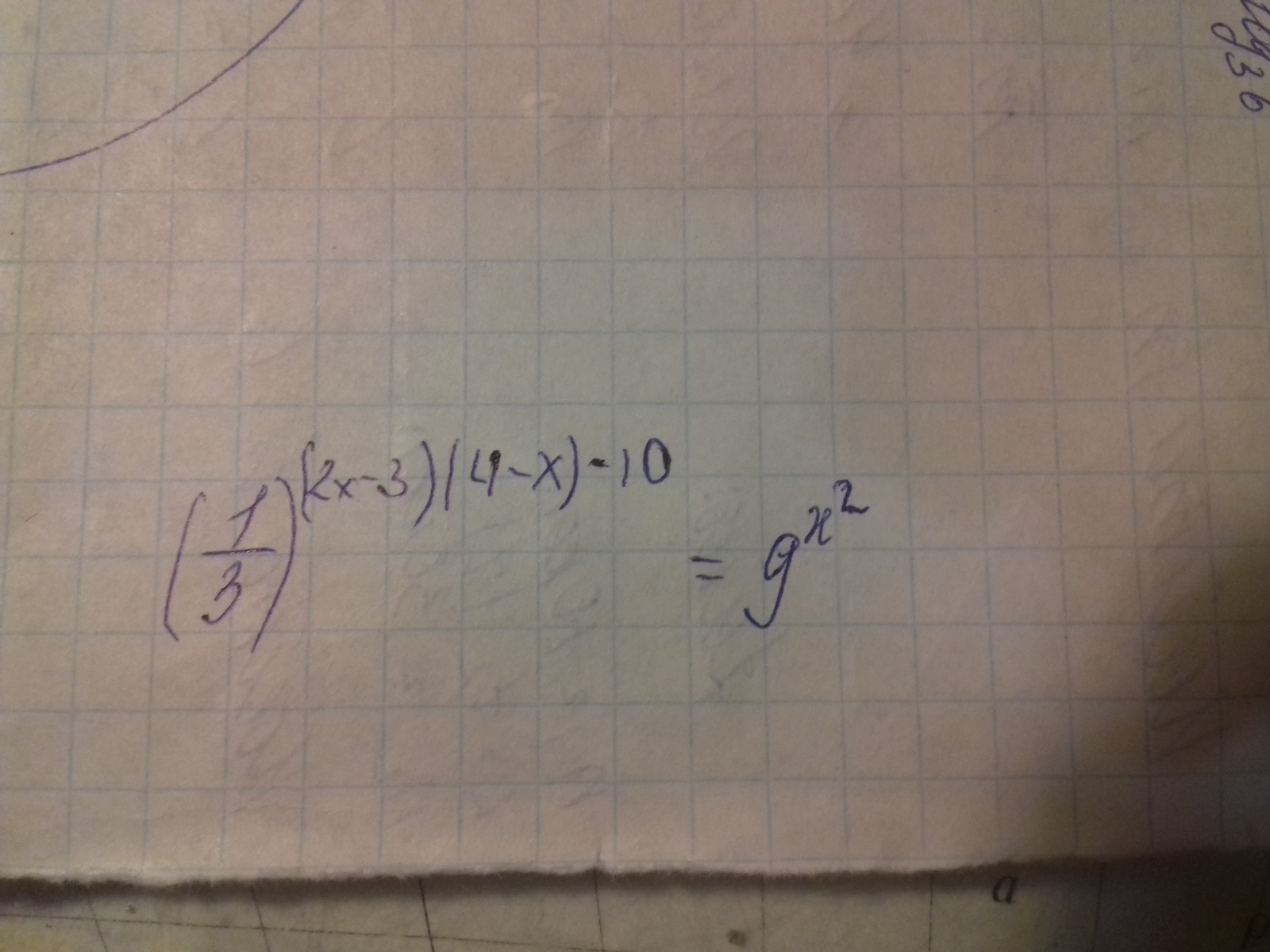
(1/3)^((2x - 3)(4 -x) - 10) = 9^(x^2)
9^(-0,5*((2x - 3)(4 -x) - 10)) = 9^(x^2)
-0,5*((2x - 3)(4 -x) - 10) = x^2
-4x + x^2 + 6 - 3/2 x + 5 = x^2
11/2 x = -11
x = - 2
9^(-0,5*((2x - 3)(4 -x) - 10)) = 9^(x^2)
-0,5*((2x - 3)(4 -x) - 10) = x^2
-4x + x^2 + 6 - 3/2 x + 5 = x^2
11/2 x = -11
x = - 2
Ответ дал:
0
x = 2 *
Вас заинтересует
3 года назад
3 года назад
7 лет назад
10 лет назад
10 лет назад
10 лет назад