• Предмет: Алгебра
  • Автор: katushks
  • Вопрос задан 9 лет назад

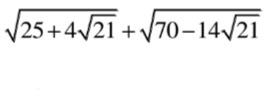
найдите значение выражения

Приложения:

Ответы

Ответ дал: iBear
0
25+4*sqrt(21)=sqrt(21)+2+7-sqrt(21)=9
Вас заинтересует