Ответы
Ответ дал:
0
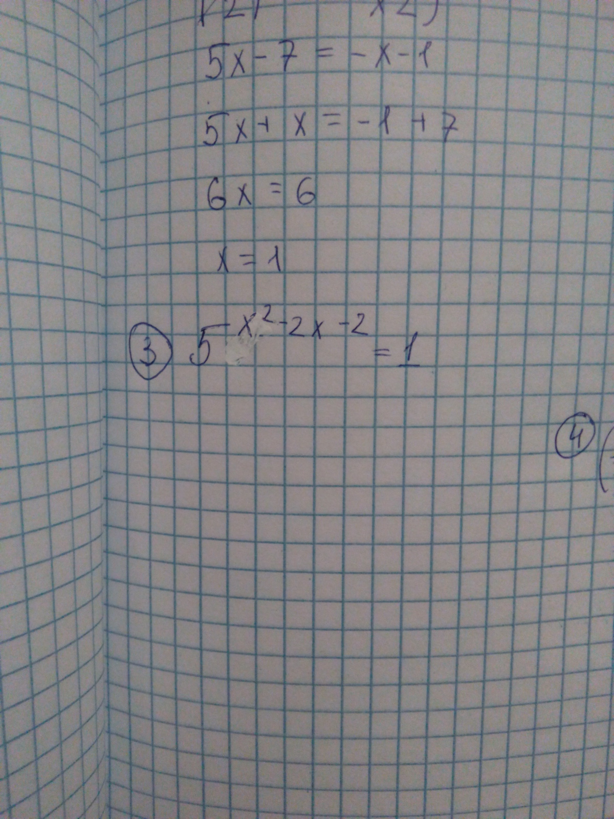
5^(x²-2x-2)=1
5^(x²-2x-2)=5^0
x²-2x-2=0
D/4=1+2=3=+-√3
x1=1-√3
x2=1+√3
5^(x²-2x-2)=5^0
x²-2x-2=0
D/4=1+2=3=+-√3
x1=1-√3
x2=1+√3
Вас заинтересует
2 года назад
2 года назад
7 лет назад
10 лет назад
10 лет назад
10 лет назад