выясните рациональным или иррациональным является число является значение выражения с решением
Приложения:
Ответы
Ответ дал:
0
sqrt-корень
11-6*sqrt(2)= 9-2*3*sqrt(2)+2= (3-sqrt(2))^2
11+6*sqrt(2)= 9+2*3*sqrt(2)+2= (3+sqrt(2))^2
3-sqrt(2)-3-sqrt(2)= -2*sqrt(2)
Первый пример иррациональный
14+2*sqrt(33)=(sqrt(11)+sqrt(3))^2
14-2*sqrt(33)=(sqrt(11)-sqrt(3))^2
sqrt(11)+sqrt(3)-(sqrt(11)+sqrt(3)= 2*sqrt(3)
Второй пример иррациональный
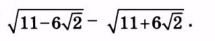
11-6*sqrt(2)= 9-2*3*sqrt(2)+2= (3-sqrt(2))^2
11+6*sqrt(2)= 9+2*3*sqrt(2)+2= (3+sqrt(2))^2
3-sqrt(2)-3-sqrt(2)= -2*sqrt(2)
Первый пример иррациональный
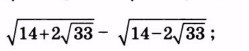
14+2*sqrt(33)=(sqrt(11)+sqrt(3))^2
14-2*sqrt(33)=(sqrt(11)-sqrt(3))^2
sqrt(11)+sqrt(3)-(sqrt(11)+sqrt(3)= 2*sqrt(3)
Второй пример иррациональный
Ответ дал:
0
спасибо
Вас заинтересует
2 года назад
2 года назад
7 лет назад
7 лет назад
10 лет назад
10 лет назад
10 лет назад