• Предмет: Алгебра
  • Автор: DEADЕYE
  • Вопрос задан 9 лет назад

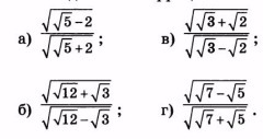
ДАЮ 20 БАЛОВ освободитесь от иррациональности в знаменателе дроби с решением

Приложения:

Ответы

Ответ дал: Uturna
0
Справа свойства, которыми пользовалась
Приложения:
Ответ дал: DEADЕYE
0
СПАСИБО
Ответ дал: Uturna
0
:)
Вас заинтересует