Ответы
Ответ дал:
0
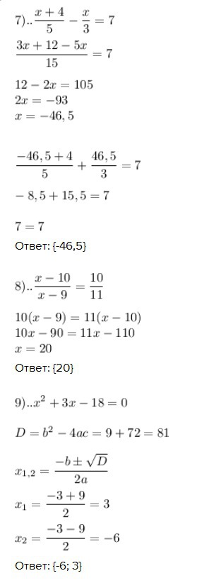
Ответ: {-46,5}
Ответ: {20}
Ответ: {-6; 3}
Приложения:

Вас заинтересует
2 года назад
2 года назад
7 лет назад
9 лет назад
9 лет назад
10 лет назад
10 лет назад