• Предмет: Математика
  • Автор: некит349
  • Вопрос задан 9 лет назад

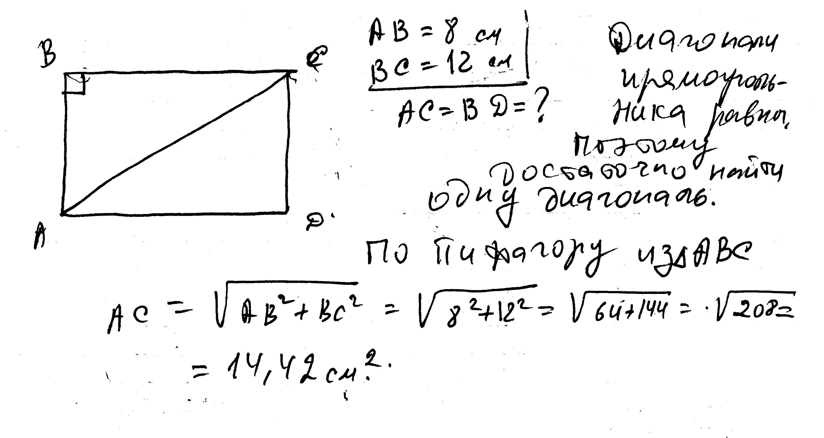
<p>Стороны прямоугольника равны <strong>8 и 12 см</strong>. <strong>Найти его диагонали.</strong></p>

Ответы

Ответ дал: ужнеужели
0
решение в скане.......................
Приложения:
Вас заинтересует