• Предмет: Информатика
  • Автор: chervinskiy00
  • Вопрос задан 9 лет назад

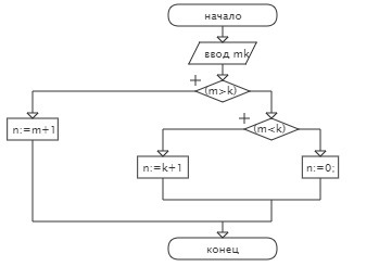
Помогите, пожалуйста! Нужно составить блок схему. Заранее спасибо.

Приложения:

Ответы

Ответ дал: rudnizkiivlad
0
Смотри рисунок.
m k - раздельно ))))
:= на = можешь заменить
 и вывод n если нужно рисуется как ввод перед концом.
Приложения:
Вас заинтересует