решить уравнение 1)21(18+x)=714 2)16(4x-34)=608;
3) 12(152+19x)=2052;
4) (152x+32)*6=192
Помогите срочно дам 40 баллов!
Ответы
Ответ дал:
0
Рада была помочь)))))
Приложения:
Ответ дал:
0
1)
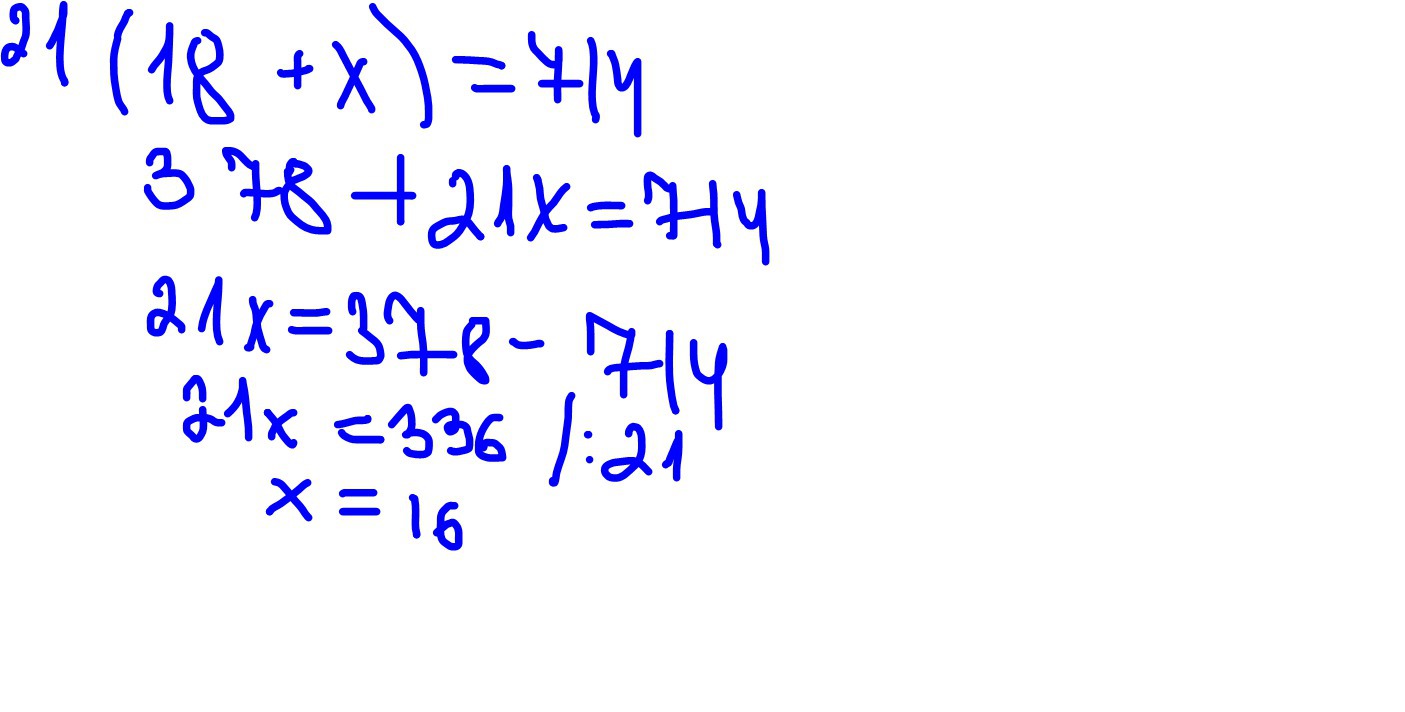
21*18+21*x=714
378+21x=714
21x=714-378
21x=336
x=336:21
x=16
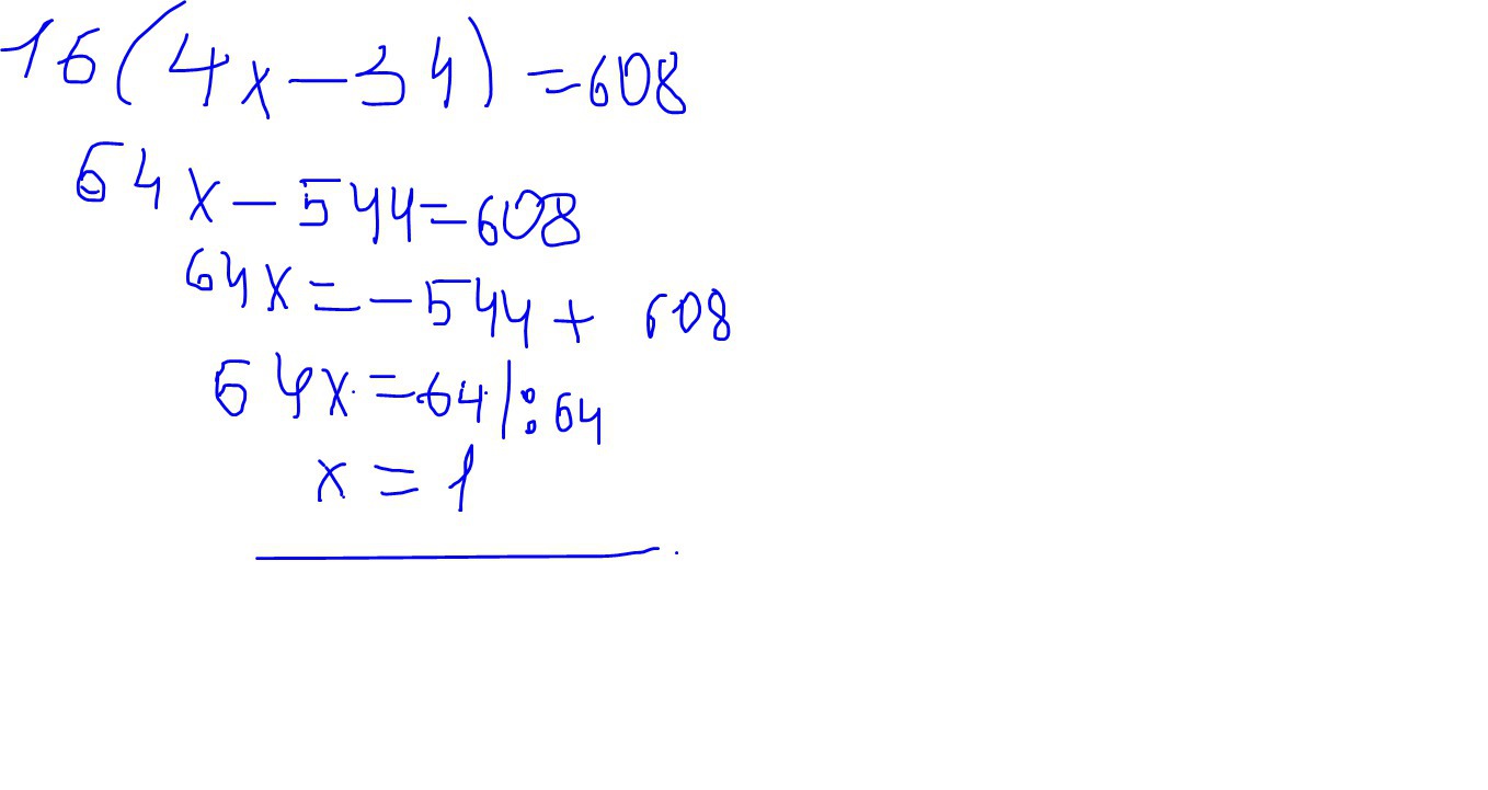
2)64x-544=608
64x=608-544
64x=1152
x=1152:64
x=18
3)1824-228x=2052
-228x=2052-1824
-228x=228
x=228:(-228)
x=-1
4)912x+192=192
912x=192-192
912x=0
912x/912 =0
x=0
21*18+21*x=714
378+21x=714
21x=714-378
21x=336
x=336:21
x=16
2)64x-544=608
64x=608-544
64x=1152
x=1152:64
x=18
3)1824-228x=2052
-228x=2052-1824
-228x=228
x=228:(-228)
x=-1
4)912x+192=192
912x=192-192
912x=0
912x/912 =0
x=0
Приложения:
Ответ дал:
0
Спасибо большое)
Ответ дал:
0
пожалуйста!!
Вас заинтересует
2 года назад
7 лет назад
7 лет назад
10 лет назад
10 лет назад
10 лет назад