Ответы
Ответ дал:
0
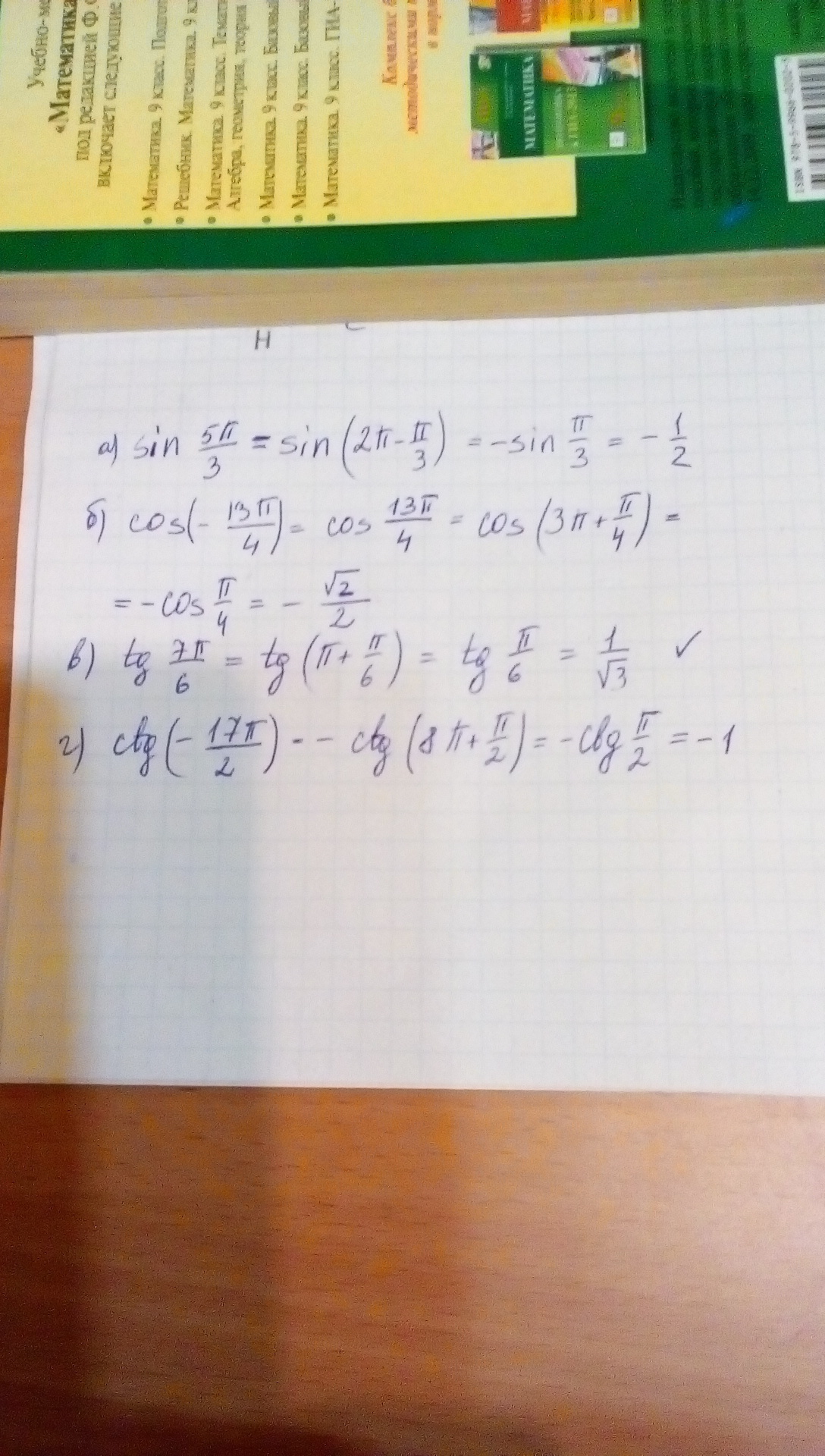
перепроверь в) по таблице
Приложения:

Ответ дал:
0
а могли бы вы обьяснить всё детально
Ответ дал:
0
детальнее некуда, здесь данные выражения упрощаются по флрмулам приведения. их надо либо понимать,либо выучить
Ответ дал:
0
можно формулы
Ответ дал:
0
найди в интернете, Формулы приведения, тригонометрия. нет времени расписывать,их минимум 8
Вас заинтересует
2 года назад
7 лет назад
7 лет назад
9 лет назад
9 лет назад
10 лет назад