Ответы
Ответ дал:
0
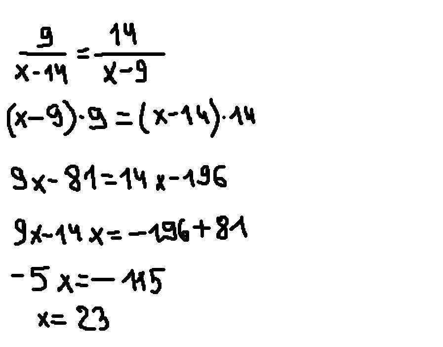
9/х-14=14/х-9
9(х-9)= 14(х-14)
9х-81=14х-196
-5х=-115
х=23
Ответ дал:
0
Решение во вложении.Надеюсь будет понятно.
Приложения:

Вас заинтересует
2 года назад
10 лет назад
10 лет назад
10 лет назад