• Предмет: Алгебра
  • Автор: gangstashit228
  • Вопрос задан 9 лет назад

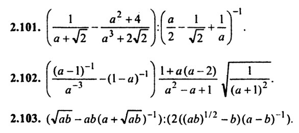
Решить 2.102 - 2.103
Подробно расписать

Приложения:

Ответы

Ответ дал: mangofundukov
0
2,102-2,103=-0,001
примерно так
Ответ дал: DashaSuslova202
0
2,102-2,103=-0,001...............
Вас заинтересует