• Предмет: Алгебра
  • Автор: borzyhekaterina
  • Вопрос задан 9 лет назад

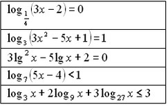
ПОМОГИТЕ ПОЖАЛУЙСТА СРОЧНО!!! С ПОДРОБНЫМ РЕШЕНИЕМ!!!

Приложения:

Ответы

Ответ дал: Dalbagan
0
 i dont know!!!!!!!!!
Вас заинтересует