Ответы
Ответ дал:
0
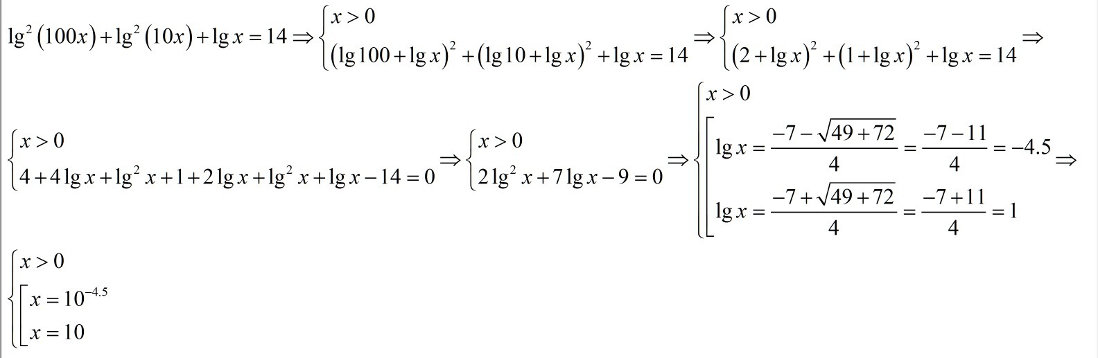
решение смотри во вложении
Приложения:

Ответ дал:
0
Хотелось бы как-нибудь с объяснением, а то я тож так могу. Но пасиб!
Ответ дал:
0
а что тут объяснять? куда еще подробнее
Ответ дал:
0
Ну, я помню, что мы способ систем не рассматривали. Ну да ладно.
Ответ дал:
0
это не способ систем, а совместно с ОДЗ. можно и отдельно
Вас заинтересует
2 года назад
2 года назад
7 лет назад
7 лет назад
9 лет назад
9 лет назад
10 лет назад