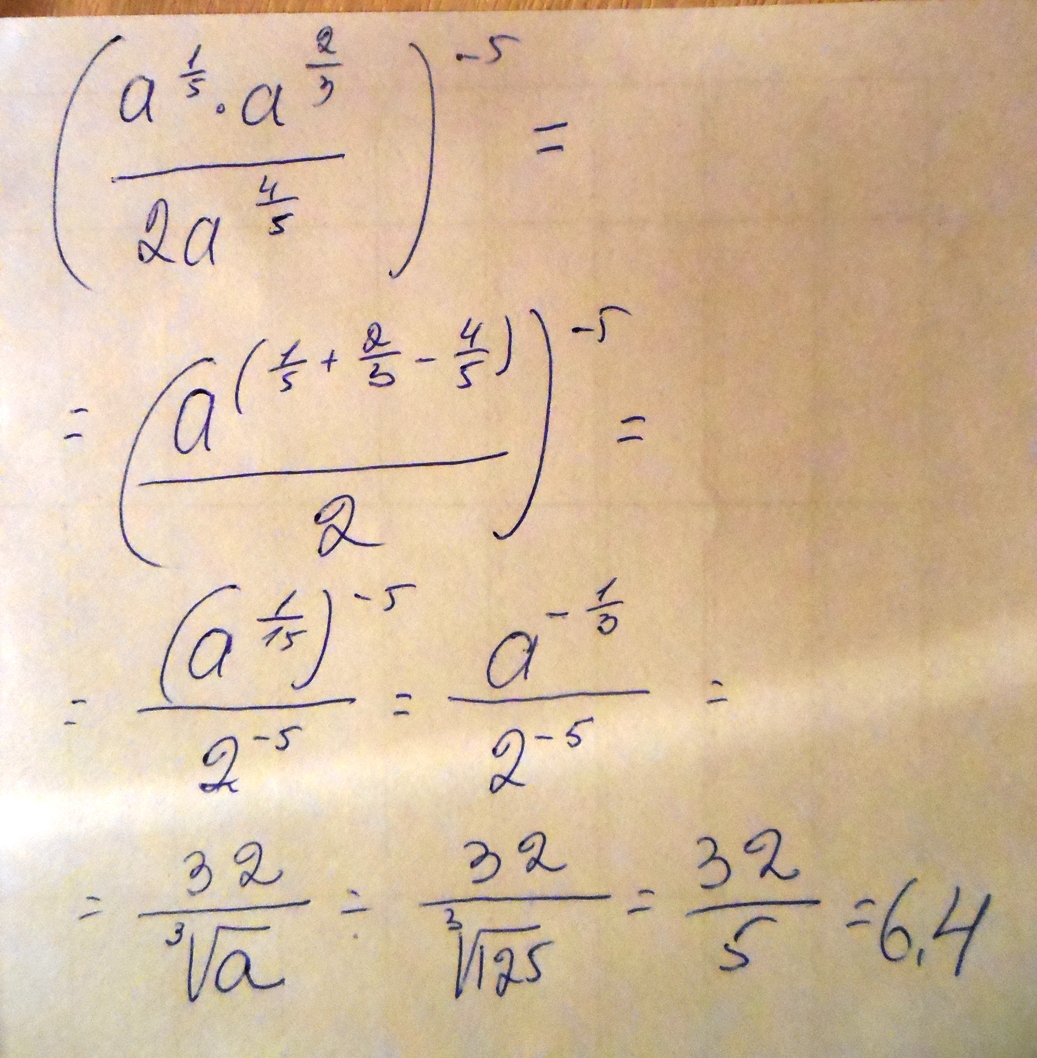
Решите пожалуйста, лучше если будет фото решения
Прошу прошу прошу помогите, ссесия (
Приложения:

Ответы
Ответ дал:
0
!!!!!!!!!!!!!!!!!!!!!!!!!!!!!!!!!
Приложения:

Ответ дал:
0
как там 32 получилось ?
Ответ дал:
0
2 в 5 степени =32
Вас заинтересует
2 года назад
2 года назад
7 лет назад
9 лет назад
10 лет назад