Найти производную с подробным решением( (2x^2 - 10x + 8) / ((x^2 - 4)^2) ).После чего в получившимся выражении приравнять числитель к нулю и решить уравнение.
Приложения:

Ответы
Ответ дал:
0
Производная в файле. Действительные корни уравнения среди делителей свободного члена. Надо найти и затем разделить на (х-х1) получится уравнение второй степени.
Приложения:

Ответ дал:
0
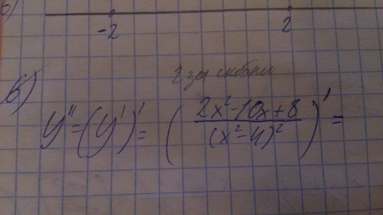
Ответ на фотографиях...
Приложения:


Вас заинтересует
2 года назад
9 лет назад
9 лет назад
10 лет назад
10 лет назад