• Предмет: Математика
  • Автор: Jjjjjj1234556
  • Вопрос задан 9 лет назад

Могут ли стороны прямоугольного треугольника выражаться числами 3,4 и 5.

Ответы

Ответ дал: adochkai
0
3 и 4 - катеты
5 - гипотенуза 
называется также египетский треугольник 
Ответ дал: Поляндиq
0
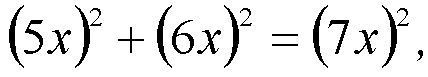
Обозначим стороны треугольника

где х —

некоторый коэффициент. Так как треугольник прямоугольный, то по теореме Пифагора

то есть 25 + 36 = 49 , но это неверно. Значит, стороны прямоугольного треугольника не могут быть пропорциональны этим числам. Ответ: не могут.

Приложения:
Вас заинтересует