Можно решения по одному.
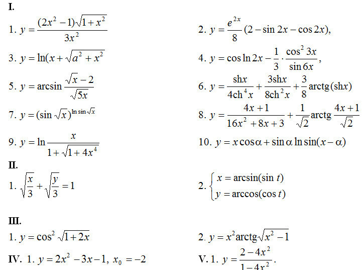
I, II – найти производную
III – найти dy
IV – написать уравнение касательной к кривой y=f(x) в точке x0 .
V – исследовать и построить график кривой.
Приложения:
Ответы
Ответ дал:
0
IV.1. Уравнение касательной к графику функции в точке Хо:

Находим:
у(хо) = 2*(-2)²-3*(-2)-1 = 8+6-1 = 13.
y'(x) = 4x-3.
y'(xo) = 4*(-2)-3 = -8-3 = -11.
Получаем уравнение касательной:
ук = 13+(-11)*(х-(-2)) = 13-11(х+2) = 13-11х-22 = -11х-9.
График дан в приложении.
V.1. Там же приведен и анализ функции у = (2-4х²)/(1-4х²).
Находим:
у(хо) = 2*(-2)²-3*(-2)-1 = 8+6-1 = 13.
y'(x) = 4x-3.
y'(xo) = 4*(-2)-3 = -8-3 = -11.
Получаем уравнение касательной:
ук = 13+(-11)*(х-(-2)) = 13-11(х+2) = 13-11х-22 = -11х-9.
График дан в приложении.
V.1. Там же приведен и анализ функции у = (2-4х²)/(1-4х²).
Приложения:
Вас заинтересует
2 года назад
7 лет назад
10 лет назад
10 лет назад
10 лет назад