Ответы
Ответ дал:
0
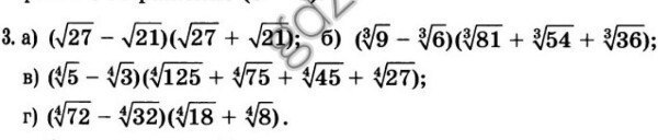
б) перемножаем поочередно скобки и получаем
∛9*81-∛6*81+∛54*9-∛54*6+∛36*9-∛6*36=решая каждый корень поочередно получим=9-3∛18+3∛18-3∛12+3∛12-6=3
в) в символах нет корня четвертой степени поэтому для записи использую квадратный корень, НО при переписывании решения НУЖНО ставить корень четвертой степени.
Перемножаем скобки
√5*125-√3*125+√5*75-√3*75+√5*45-√3*45+√5*27-√3*27= решая каждый корень получим = 5-√375+√375-√225+√225-√135+√135-3=2
Напомню о замене квадратного корня в решении на корень четвертой степени в тетради
г) Та же история с записью корней как в предыдущем примере. Пишу квадратный корень подразумеваю корень четвертой степени, потому, что в символах на клаве такого корня нет.
√72*18-√32*18+√72*8-√32*8= √6*6*2*6*3-√576+√576-√4*4*2*4*2=6-4=2
∛9*81-∛6*81+∛54*9-∛54*6+∛36*9-∛6*36=решая каждый корень поочередно получим=9-3∛18+3∛18-3∛12+3∛12-6=3
в) в символах нет корня четвертой степени поэтому для записи использую квадратный корень, НО при переписывании решения НУЖНО ставить корень четвертой степени.
Перемножаем скобки
√5*125-√3*125+√5*75-√3*75+√5*45-√3*45+√5*27-√3*27= решая каждый корень получим = 5-√375+√375-√225+√225-√135+√135-3=2
Напомню о замене квадратного корня в решении на корень четвертой степени в тетради
г) Та же история с записью корней как в предыдущем примере. Пишу квадратный корень подразумеваю корень четвертой степени, потому, что в символах на клаве такого корня нет.
√72*18-√32*18+√72*8-√32*8= √6*6*2*6*3-√576+√576-√4*4*2*4*2=6-4=2
Вас заинтересует
2 года назад
7 лет назад
7 лет назад
10 лет назад
10 лет назад