• Предмет: Математика
  • Автор: jinex92
  • Вопрос задан 9 лет назад

Помогите решить 1 и 3 прошу очень нужно

Приложения:

Ответы

Ответ дал: Trover
0
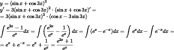
y=(sin x+cos3x)^3\y'=3(sin x+cos3x)^2cdot(sin x+cos3x)'=\=3(sin x+cos3x)^2cdot(cos x-3sin3x)\\intfrac{e^{2x}-1}{e^x}dx=intleft(frac{e^{2x}}{e^x}-frac1{e^x}right)dx=int(e^x-e^{-x})dx=int e^xdx-int e^{-x}dx=\=e^x+e^{-x}=e^x+frac1{e^x}}=frac{e^{2x}+1}{e^x}
Приложения:
Вас заинтересует