Ответы
Ответ дал:
0
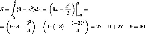
y = x^2 - парабола ветвями вверх с вершиной в начале координат.
y = 9 - прямая, параллельная оси OX.
Пределы интегрирования - точки пересечения графиков.
x^2 = 9
x = -3, x = 3

y = 9 - прямая, параллельная оси OX.
Пределы интегрирования - точки пересечения графиков.
x^2 = 9
x = -3, x = 3
Приложения:
Вас заинтересует
2 года назад
2 года назад
7 лет назад
7 лет назад
10 лет назад
10 лет назад