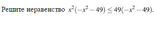
Ответы
Ответ дал:
0
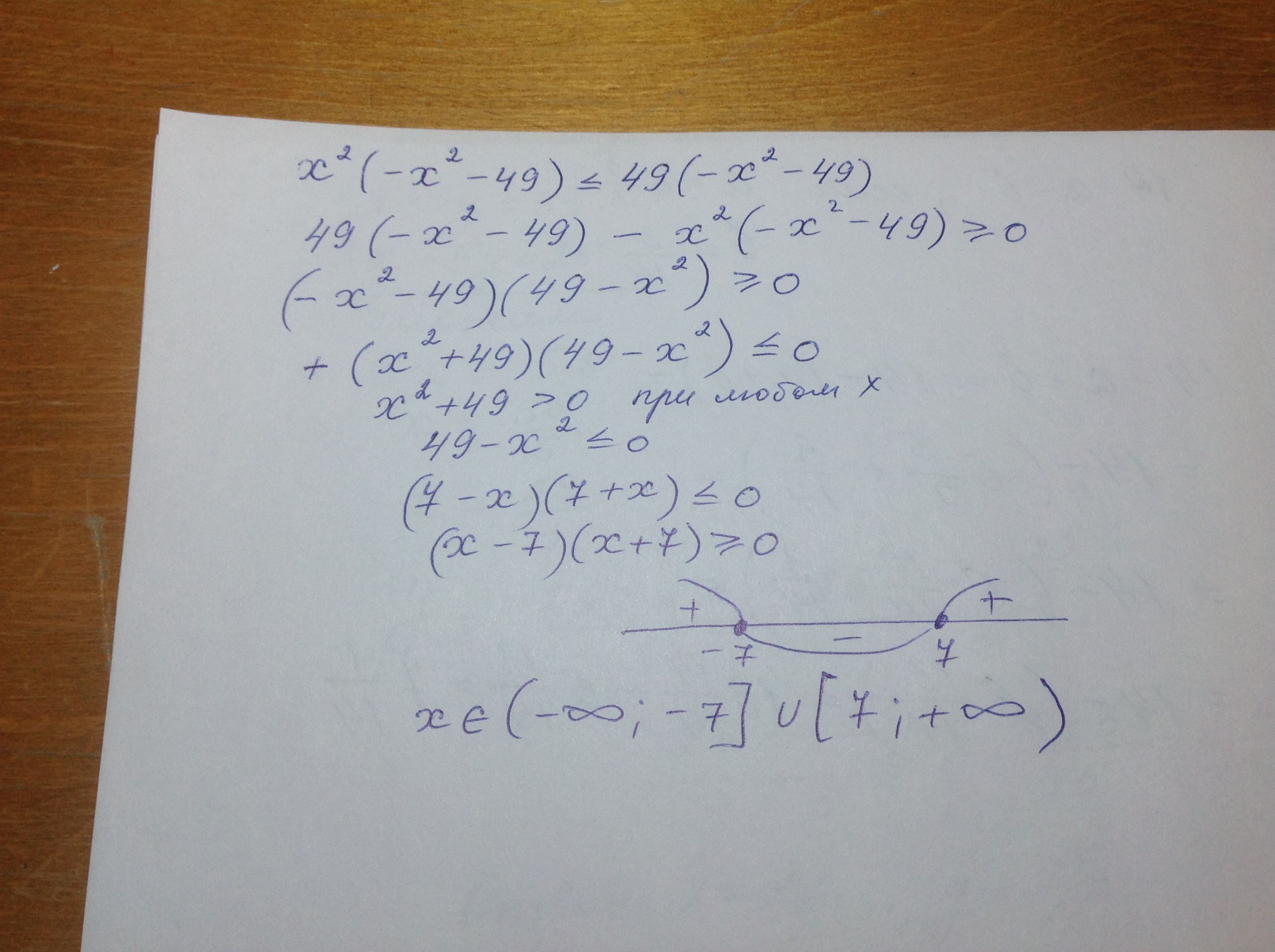
Решение смотри в приложении
Приложения:

Ответ дал:
0
x^2(-x-49) ≤ 49(-x^2-49)
-x^4-49x^2≤ -49x^2-2401
-x^4-49x^2+49x^2 + 2401≤0
-49x^2 и 49x^2 сокращаем, получается:
-x^4 + 2401≤0
-x^4 ≤ -2401
x^4 ≥ 2401
X≥7.
Ответ: [7;+беск.)
-x^4-49x^2≤ -49x^2-2401
-x^4-49x^2+49x^2 + 2401≤0
-49x^2 и 49x^2 сокращаем, получается:
-x^4 + 2401≤0
-x^4 ≤ -2401
x^4 ≥ 2401
X≥7.
Ответ: [7;+беск.)
Приложения:

Вас заинтересует
2 года назад
7 лет назад
9 лет назад
10 лет назад