Ответы
Ответ дал:
0
учи формулы .не ленись
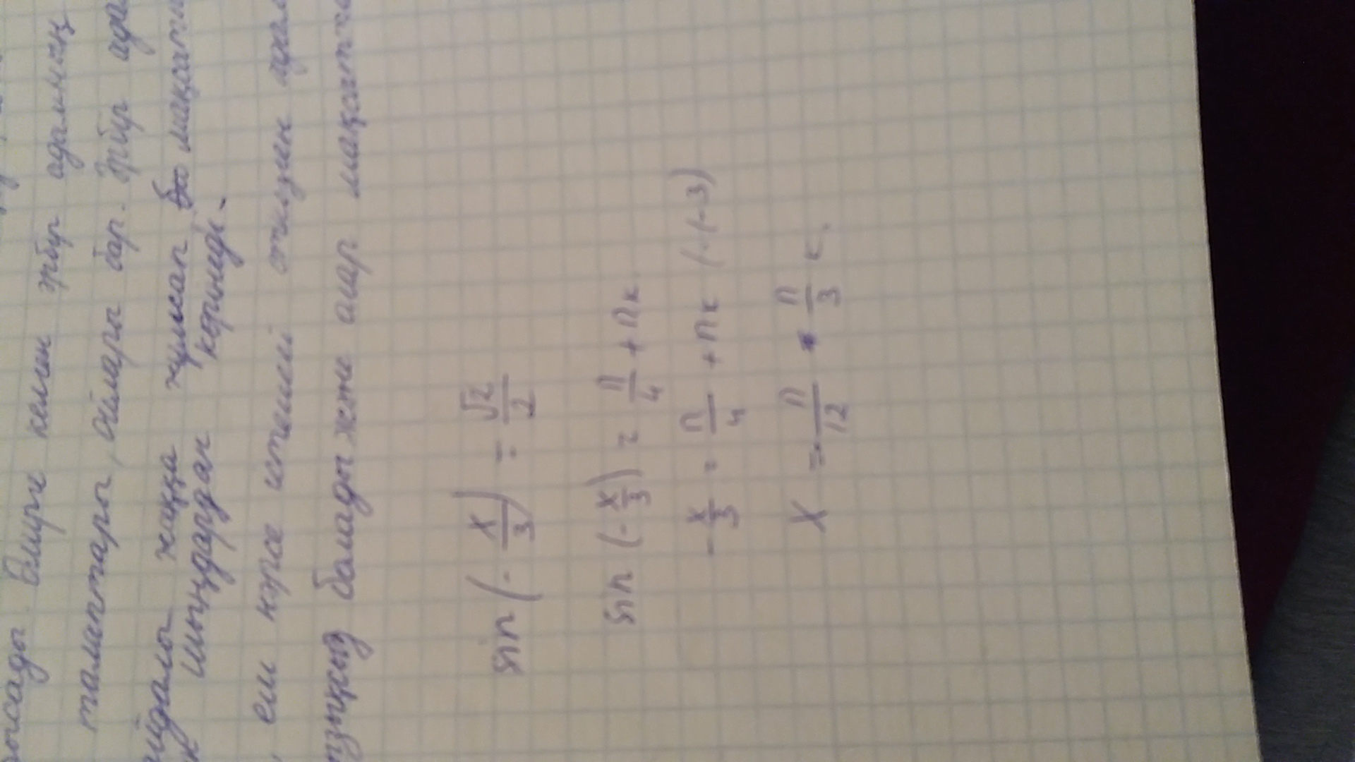
Приложения:

Вас заинтересует
2 года назад
2 года назад
9 лет назад
9 лет назад
10 лет назад