Ответы
Ответ дал:
0
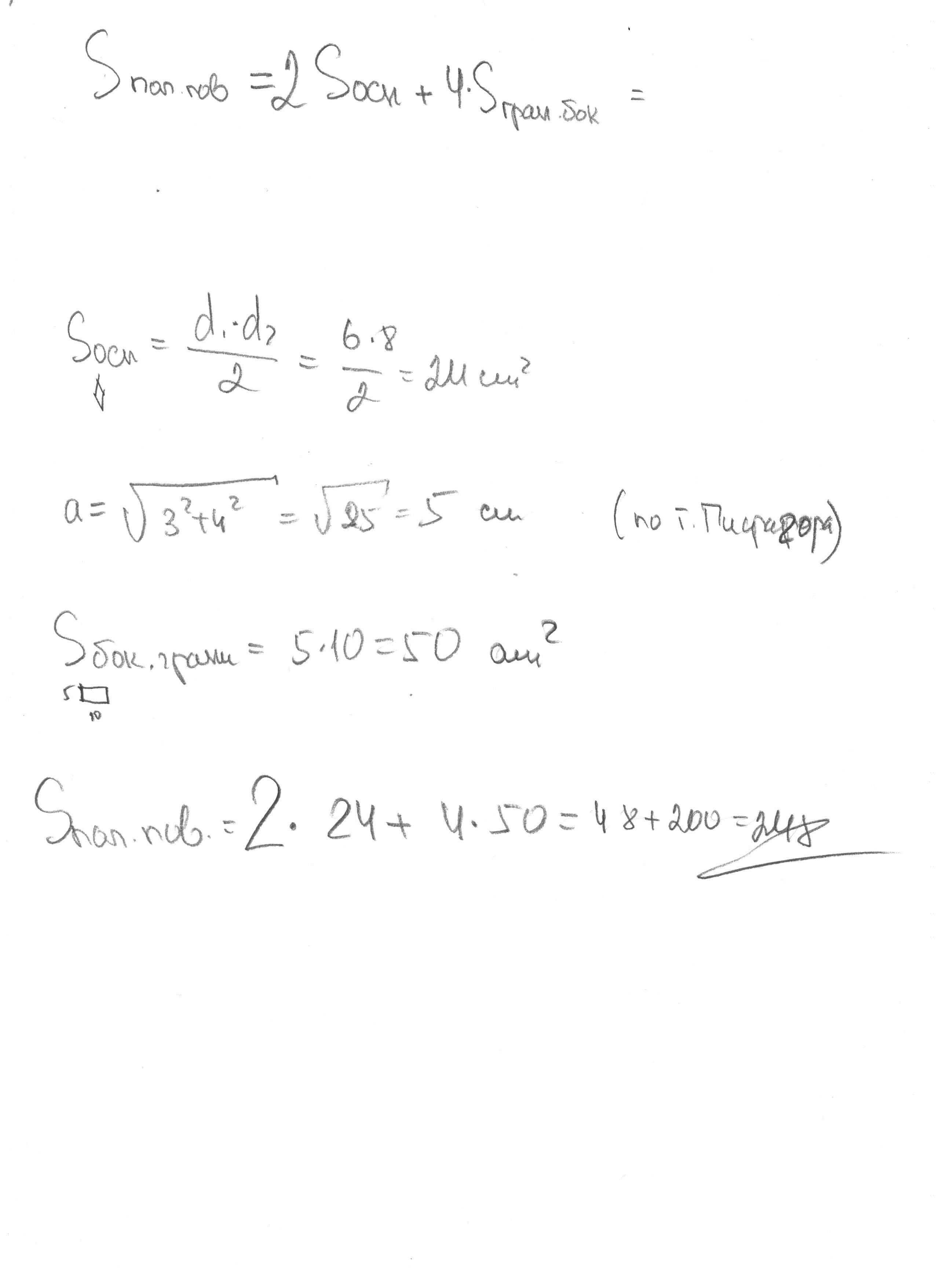
Ответ прикреплён, призма, в основании ромб. Все грани одинаковые.
Приложения:

Вас заинтересует
2 года назад
7 лет назад
9 лет назад
10 лет назад