Ответы
Ответ дал:
0
1. а)

б)

в)

2. а)

б)

в)

3.


б)
в)
2. а)
б)
в)
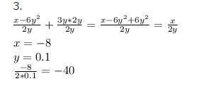
3.
Приложения:
Вас заинтересует
2 года назад
2 года назад
7 лет назад
10 лет назад
10 лет назад