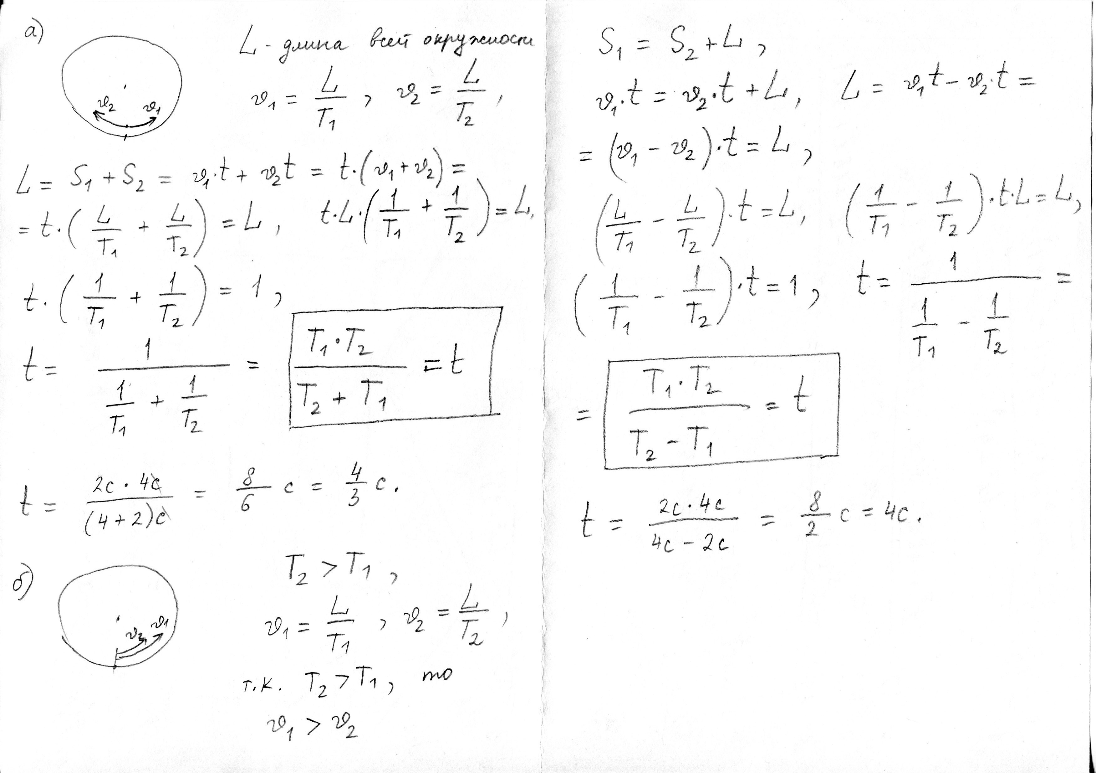
Два тела начинают движение по окружности из одной точки. а)движутся навстречу друг другу б)движутся вдогонку
Через какой промежуток времени они встретятся,если T(период) 1=2 с,T(период) 2=4с.
Ответы
Ответ дал:
0
ответ будет б движутся...
Ответ дал:
0
На листочке решил====================>>>
Приложения:

Вас заинтересует
2 года назад
2 года назад
7 лет назад
7 лет назад
9 лет назад
9 лет назад
10 лет назад