укажите все значения параметра a, при каждом из которых уравнение sin^4x+cos^4x=asinxcosx имеет решения
Ответы
Ответ дал:
0
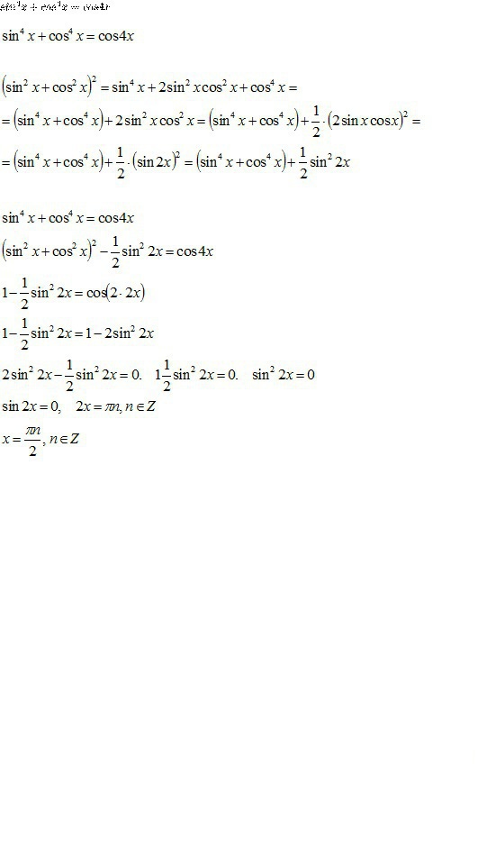
Вот , решение во вложении!
Приложения:
Вас заинтересует
2 года назад
2 года назад
7 лет назад
7 лет назад
10 лет назад
10 лет назад
10 лет назад