• Предмет: Алгебра
  • Автор: kkarinkkk100
  • Вопрос задан 9 лет назад

Помогите пожалуйста с примером
Нужно срочно

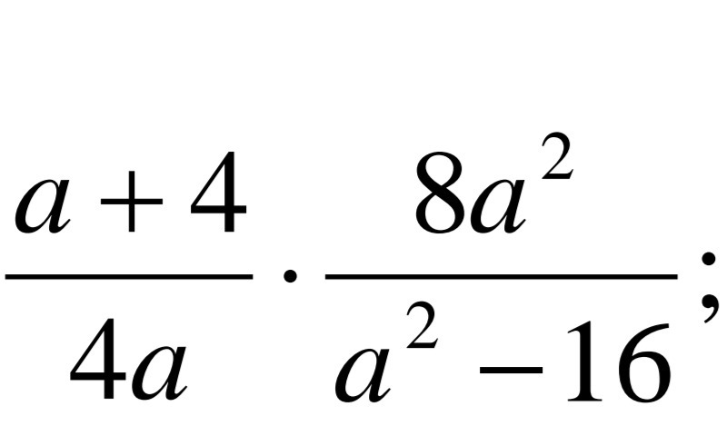
Приложения:

Ответы

Ответ дал: sweet79
0

------ вот так
а-4
Ответ дал: Ученица1151
0
a+4/4a×8a2( во второй степени)/(а-4)×(а+4)
1×2а/а-4=2а/а-4
Вас заинтересует