• Предмет: Алгебра
  • Автор: oksankaanufrie
  • Вопрос задан 9 лет назад

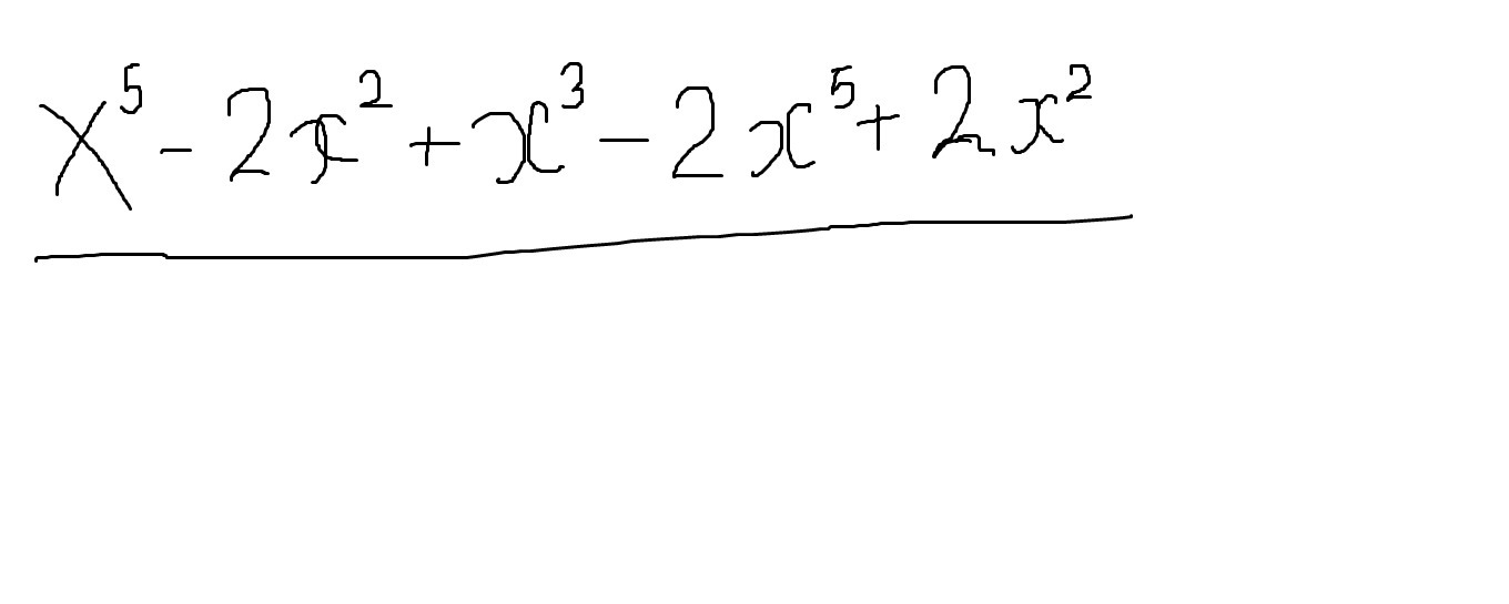
Приведите многочлен к стандартному виду

Приложения:

Ответы

Ответ дал: CurlyD
0
x^5-2x^2+x^3-2x^5+2x^2=-x^5+x^3=x^3-x^5=x^3(1-x^2)
Вас заинтересует