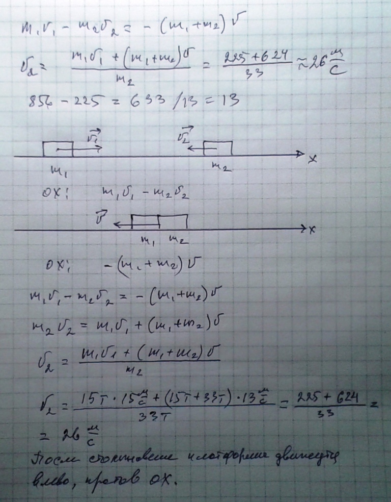
Две платформы с массами m1= 15 тонн m2=33 тонны они двигались на встречу друг другу.U1=15м/с .Через какое время эти платформы сцепились .Стали двигаться U=13м/с Найти U2-? и направление после сцепления.
Ответы
Ответ дал:
0
решение смотри на фотографии
Приложения:

Вас заинтересует
7 лет назад
7 лет назад
9 лет назад
9 лет назад